Corrections and Clarifications to Toxics Water Quality Standards Regulations

Proposed Rule Revisions

 

 

 

340-041-0033

Toxic Substances

(1) Amendments to sections (1-5) and (7) of this rule (OAR 340-041-0033) and associated revisions to Tables 20, 33A, 33B, 33C, and 40 become effective on April 18, 2014. The amendments do not become applicable for purposes of ORS chapter 468B or the federal Clean Water Act, however, unless approved by EPApursuant to 40 CFR 131.21 (4/27/2000).

(2) Toxic Substances Narrative. Toxic substances may not be introduced above natural background levels in waters of the state in amounts, concentrations, or combinations that may be harmful, may chemically change to harmful forms in the environment, or may accumulate in sediments or bioaccumulate in aquatic life or wildlife to levels that adversely affect public health, safety, or welfare or aquatic life, wildlife, or other designated beneficial uses.

(3) Aquatic Life Numeric Criteria. Levels of toxic substances in waters of the state may not exceed the applicable aquatic life criteria listed in Table 30.

(4) Human Health Numeric Criteria. The criteria for waters of the state listed in Table 40 are established to protect Oregonians from potential adverse health effects associated with long-term exposure to toxic substances associated with consumption of fish, shellfish, and water.

(5) To establish permit or other regulatory limits for toxic substances for which criteria are not included in Table 30 or Table 40, the department may use the guidance values in Table 31, public health advisories, and other published scientific literature. The department may also require or conduct bio-assessment studies to monitor the toxicity to aquatic life of complex effluents, other suspected discharges, or chemical substances without numeric criteria.

(6) Establishing Site-Specific Background Pollutant Criteria: This provision is a performance based water quality standard that results in site-specific human health water quality criteria under the conditions and procedures specified in this rule section. It addresses existing permitted discharges of a pollutant removed from the same body of water. For waterbodies where a discharge does not increase the pollutant’s mass and does not increase the pollutant concentration by more than 3%, and where the water body meets a pollutant concentration associated with a risk level of 1x10-4, DEQ concludes that the pollutant concentration continues to protect human health.

(a) Definitions: For the purpose of this section (OAR 340-041-0033(6)):

(A) “Background pollutant concentration” means the ambient water body concentration immediately upstream of the discharge, regardless of whether those pollutants are natural or result from upstream human activity.

(B) An “intake pollutant” is the amount of a pollutant that is present in public waters (including groundwater) as provided in subsection (C), below, at the time it is withdrawn from such waters by the discharger or other facility supplying the discharger with intake water.

(C) “Same body of water”: An intake pollutant is considered to be from the “same body of water” as the discharge if the department finds that the intake pollutant would have reached the vicinity of the outfall point in the receiving water within a reasonable period had it not been removed by the permittee. This finding may be deemed established if:

(i) The background concentration of the pollutant in the receiving water (excluding any amount of the pollutant in the facility's discharge) is similar to that in the intake water;

(ii) There is a direct hydrological connection between the intake and discharge points; and

(I) The department may also consider other site-specific factors relevant to the transport and fate of the pollutant to make the finding in a particular case that a pollutant would or would not have reached the vicinity of the outfall point in the receiving water within a reasonable period had it not been removed by the permittee.

(II) An intake pollutant from groundwater may be considered to be from the “same body of water” if the department determines that the pollutant would have reached the vicinity of the outfall point in the receiving water within a reasonable period had it not been removed by the permittee, except that such a pollutant is not from the same body of water if the groundwater contains the pollutant partially or entirely due to past or present human activity, such as industrial, commercial, or municipal operations, disposal actions, or treatment processes.

(iii) Water quality characteristics (e.g., temperature, pH, hardness) are similar in the intake and receiving waters.

(b) Applicability

(A) Site-specific criteria may be established under this rule section only for carcinogenic pollutants.

(B) Site-specific criteria established under this rule section apply in the vicinity of the discharge for purposes of establishing permit limits for the specified permittee.

(C) The underlying waterbody criteria continue to apply for all other Clean Water Act programs.

(D) The site-specific background pollutant criterion will be effective upon department issuance of the permit for the specified permittee.

(E) Any site-specific criteria developed under this procedure will be re-evaluated upon permit renewal.

(c) A site-specific background pollutant criterion may be established where all of the following conditions are met:

(A) The discharger has a currently effective NPDES permit;

(B) The mass of the pollutant discharged to the receiving waterbody does not exceed the mass of the intake pollutant from the same body of water, as defined in section (6)(a)(C) above, and, therefore, does not increase the total mass load of the pollutant in the receiving water body;

(C) The discharger has not been assigned a TMDL wasteload allocation for the pollutant in question;

(D) The permittee uses any feasible pollutant reduction measures available and known to minimize the pollutant concentration in their discharge;

(E) The pollutant discharge has not been chemically or physically altered in a manner that causes adverse water quality impacts that would not occur if the intake pollutants were left in-stream; and,

(F) The timing and location of the pollutant discharge would not cause adverse water quality impacts that would not occur if the intake pollutant were left in-stream.

(d) The site-specific background pollutant criterion must be the most conservative of the following four values. The procedures deriving these values are described in the sections (6)(e) of this rule.

(A) The projected in-stream pollutant concentration resulting from the current discharge concentration and any feasible pollutant reduction measures under (c)(D) above, after mixing with the receiving stream.

(B) The projected in-stream pollutant concentration resulting from the portion of the current discharge concentration associated with the intake pollutant mass after mixing with the receiving stream. This analysis ensures that there will be no increase in the mass of the intake pollutant in the receiving water body as required by condition (c)(B) above.

(C) The projected in-stream pollutant concentration associated with a 3% increase above the background pollutant concentration as calculated:

(i) For the mainstem Willamette and Columbia Rivers, using 25% of the harmonic mean flow of the waterbody.

(ii) For all other waters, using 100% of the harmonic mean flow or similar critical flow value of the waterbody.

(D) A criterion concentration value representing a human health risk level of 1 ? 10-4. This value is calculated using EPA’s human health criteria derivation equation for carcinogens (EPA 2000), a risk level of 1 ? 10-4, and the same values for the remaining calculation variables that were used to derive the underlying human health criterion.

(e) Procedure to derive a site-specific human health water quality criterion to address a background pollutant:

(A) The department will develop a flow-weighted characterization of the relevant flows and pollutant concentrations of the receiving waterbody, effluent and all facility intake pollutant sources to determine the fate and transport of the pollutant mass.

(i) The pollutant mass in the effluent discharged to a receiving waterbody may not exceed the mass of the intake pollutant from the same body of water.

(ii) Where a facility discharges intake pollutants from multiple sources that originate from the receiving waterbody and from other waterbodies, the department will calculate the flow-weighted amount of each source of the pollutant in the characterization.

(iii) Where intake water for a facility is provided by a municipal water supply system and the supplier provides treatment of the raw water that removes an intake water pollutant, the concentration and mass of the intake water pollutant shall be determined at the point where the water enters the water supplier’s distribution system.

(B) Using the flow weighted characterization developed in Section (6)(e)(A), the department will calculate the in-stream pollutant concentration following mixing of the discharge into the receiving water. The resultant concentration will be used to determine the conditions in Section (6)(d)(A) and (B).

(C) Using the flow weighted characterization, the department will calculate the in-stream pollutant concentration based on an increase of 3% above background pollutant concentration. The resultant concentration will be used to determine the condition in Section (6)(d)(C).

(i) For the mainstem Willamette and Columbia Rivers, 25% of the harmonic mean flow of the waterbody will be used.

(ii) For all other waters, 100% of the harmonic mean flow or similar critical flow value of the waterbody will be used.

(D) The department will select the most conservative of the following values as the site-specific water quality criterion.

(i) The projected in-stream pollutant concentration described in Section 6(e)(B);

(ii) The in-stream pollutant concentration based on an increase of 3% above background described in Section (6)(e)(C); or

(iii) A water quality criterion based on a risk level of 1 x 10-4.

(f) Calculation of water quality based effluent limits based on a site-specific background pollutant criterion:

(A) For discharges to receiving waters with a site-specific background pollutant criterion, the department will use the site-specific criterion in the calculation of a numeric water quality based effluent limit.

(B) The department will compare the calculated water quality based effluent limits to any applicable aquatic toxicity or technology based effluent limits and select the most conservative for inclusion in the permit conditions.

(g) In addition to the water quality based effluent limits described in Section (6)(f), the department will calculate a mass-based limit where necessary to ensure that the condition described in Section (6)(c)(B) is met. Where mass-based limits are included, the permit shall specify how compliance with mass-based effluent limitations will be assessed.

(h) The permit shall include a provision requiring the department to consider the re-opening of the permit and re-evaluation of the site-specific background pollutant criterion if new information shows the discharger no longer meets the conditions described in subsections (6)(c) and (e).

(i) Public Notification Requirements.

(A) If the department proposes to grant a site-specific background pollutant criterion, it must provide public notice of the proposal and hold a public hearing. The public notice may be included in the public notification of a draft NPDES permit or other draft regulatory decision that would rely on the criterion and will also be published on the water quality standards website;

(B) The department will publish a list of all site-specific background pollutant criteria approved pursuant to this rule. A criterion will be added to this list within 30 days of its effective date. The list will identify: the permittee; the site-specific background pollutant criterion and the associated risk level; the waterbody to which the criterion applies; the allowable pollutant effluent limit; and how to obtain additional information about the criterion.

(7) Arsenic Reduction Policy: The inorganic arsenic criterion for the protection of human health from the combined consumption of organisms and drinking water is 2.1 micrograms per liter. While this criterion is protective of human health and more stringent than the federal maximum contaminant level (MCL) for arsenic in drinking water, which is 10 micrograms per liter, it nonetheless is based on a higher risk level than the Commission has used to establish other human health criteria. This higher risk level recognizes that much of the risk is due to naturally high levels of inorganic arsenic in Oregon’s waterbodies. In order to maintain the lowest human health risk from inorganic arsenic in drinking water, the Commission has determined that it is appropriate to adopt the following policy to limit the human contribution to that risk.

(a) The arsenic reduction policy established by this rule section does not become applicable for purposes of ORS chapter 468B or the federal Clean Water Act unless and until the numeric arsenic criteria established by this rule are approved by EPA pursuant to 40 CFR 131.21 (4/27/2000).

(b) It is the policy of the Commission that the addition of inorganic arsenic from new or existing anthropogenic sources to waters of the state within a surface water drinking water protection area be reduced the maximum amount feasible. The requirements of this rule section (OAR 340-041-0033(47)) apply to sources that discharge to surface waters of the state with an ambient inorganic arsenic concentration equal to or lower than the applicable numeric inorganic arsenic criteria for the protection of human health.

(c) The following definitions apply to this section (OAR 340-041-0033(47)):

(A) “Add inorganic arsenic” means to discharge a net mass of inorganic arsenic from a point source (the mass of inorganic arsenic discharged minus the mass of inorganic arsenic taken into the facility from a surface water source).

(B) A “surface water drinking water protection area,” for the purpose of this section, means an area delineated as such by DEQ under the source water assessment program of the federal Safe Drinking Water Act, 42 U.S.C. ¦ 300j 13. The areas are delineated for the purpose of protecting public or community drinking water supplies that use surface water sources. These delineations can be found at DEQ’s drinking water program website.

(C) “Potential to significantly increase inorganic arsenic concentrations in the public drinking water supply source water” means:

(i) to increase the concentration of inorganic arsenic in the receiving water for a discharge by 10 percent or more after mixing with the harmonic mean flow of the receiving water; or

(ii) as an alternative, if sufficient data are available, the discharge will increase the concentration of inorganic arsenic in the surface water intake water of a public water system by 0.021 micrograms per liter or more based on a mass balance calculation.

(d) Following the effective date of this rule, applications for an individual NPDES permit or permit renewal received from industrial dischargers located in a surface water drinking water protection area and identified by DEQ as likely to add inorganic arsenic to the receiving water must include sufficient data to enable DEQ to determine whether:

(A) The discharge in fact adds inorganic arsenic; and

(B) The discharge has the potential to significantly increase inorganic arsenic concentrations in the public drinking water supply source water.

(e) Where DEQ determines that both conditions in subsection (d) of this section (47) are true, the industrial discharger must develop an inorganic arsenic reduction plan and propose all feasible measures to reduce its inorganic arsenic loading to the receiving water. The proposed plan, including proposed measures, monitoring and reporting requirements, and a schedule for those actions, will be described in the fact sheet and incorporated into the source’s NPDES permit after public comment and DEQ review and approval. In developing the plan, the source must:

(A) Identify how much it can minimize its inorganic arsenic discharge through pollution prevention measures, process changes, wastewater treatment, alternative water supply (for groundwater users) or other possible pollution prevention and/or control measures;

(B) Evaluate the costs, feasibility and environmental impacts of the potential inorganic arsenic reduction and control measures;

(C) Estimate the predicted reduction in inorganic arsenic and the reduced human health risk expected to result from the control measures;

(D) Propose specific inorganic arsenic reduction or control measures, if feasible, and an implementation schedule; and

(E) Propose monitoring and reporting requirements to document progress in plan implementation and the inorganic arsenic load reductions.

(f) In order to implement this section, DEQ will develop the following information and guidance within 120 days of the effective date of this rule and periodically update it as warranted by new information:

(A) A list of industrial sources or source categories, including industrial stormwater and sources covered by general permits, that are likely to add inorganic arsenic to surface waters of the State.

(i) For industrial sources or source categories permitted under a general permit that have been identified by DEQ as likely sources of inorganic arsenic, DEQ will evaluate options for reducing inorganic arsenic during permit renewal or evaluation of Stormwater Pollution Control Plans.

(B) Quantitation limits for monitoring inorganic arsenic concentrations.

(C) Information and guidance to assist sources in estimating, pursuant to subsection (e)(C) of this section, the reduced human health risk expected to result from inorganic arsenic control measures based on the most current EPA risk assessment.

(g) It is the policy of the Commission that landowners engaged in agricultural or development practices on land where pesticides, fertilizers, or soil amendments containing arsenic are currently being or have previously been applied, implement conservation practices to minimize the erosion and runoff of inorganic arsenic to waters of the State or to a location where such material could readily migrate into waters of the State.

[ED. NOTE: Tables referencing the toxics criteria are not included in rule text. Click here for a PDF copy of Table 30: Aquatic Life Water Quality Criteria for Toxic Pollutants. Click here for a PDF copy of Table 31: Aquatic Life Water Quality Guidance Values for Toxic Pollutants. Click here for a PDF copy of Table 40: Human Health Water Quality Criteria for Toxic Pollutants.]

[See end of this document for proposed amendments to Tables 30, 33C, and 40]

Stat. Auth.: ORS 468.020, 468B.030, 468B.035 & 468B.048
Stats. Implemented: ORS 468B.030, 468B.035 & 468B.048
Hist.: DEQ 17-2003, f. & cert. ef. 12-9-03; DEQ 3-2004, f. & cert. ef. 5-28-04; DEQ 17-2010, f. & cert. ef. 12-21-10; DEQ 8-2011, f. & cert. ef. 6-30-11; DEQ 10-2011, f. & cert. ef. 7-13-11

 

340-041-0009

Bacteria

(1) Numeric Criteria: Organisms of the coliform group commonly associated with fecal sources (MPN or equivalent membrane filtration using a representative number of samples) may not exceed the criteria described in paragraphs (a) and (b) of this paragraph:

(a) Freshwaters and Estuarine Waters Other than Shellfish Growing Waters:

(A) A 30-day log mean of 126 E. coli organisms per 100 milliliters, based on a minimum of five (5) samples;

(B) No single sample may exceed 406 E. coli organisms per 100 milliliters.

(b) Marine Waters and Estuarine Shellfish Growing Waters: A fecal coliform median concentration of 14 organisms per 100 milliliters, with not more than ten percent of the samples exceeding 43 organisms per 100 ml.

(2) Raw Sewage Prohibition: No sewage may be discharged into or in any other manner be allowed to enter the waters of the State, unless such sewage has been treated in a manner approved by the Department or otherwise allowed by these rules;

(3) Animal Waste: Runoff contaminated with domesticated animal wastes must be minimized and treated to the maximum extent practicable before it is allowed to enter waters of the State;

(4) Bacterial pollution or other conditions deleterious to waters used for domestic purposes, livestock watering, irrigation, bathing, or shellfish propagation, or otherwise injurious to public health may not be allowed;

(5) Effluent Limitations for Bacteria: Except as allowed in subsection (c) of this section, upon NPDES permit renewal or issuance, or upon request for a permit modification by the permittee at an earlier date, effluent discharges to freshwaters, and estuarine waters other than shellfish growing waters may not exceed a monthly log mean of 126 E. coli organisms per 100 ml. No single sample may exceed 406 E. coli organisms per 100 ml. However, no violation will be found, for an exceedance if the permittee takes at least five consecutive re-samples at four-hour intervals beginning as soon as practicable (preferably within 28 hours) after the original sample was taken and the log mean of the five re-samples is less than or equal to 126 E. coli. The following conditions apply:

(a) If the Department finds that re-sampling within the timeframe outlined in this section would pose an undue hardship on a treatment facility, a more convenient schedule may be negotiated in the permit, provided that the permittee demonstrates that the sampling delay will result in no increase in the risk to water contact recreation in waters affected by the discharge;

(b) The aquatic life criteria for chlorine established in the water quality toxic substances rule under OAR 340-041-0033 must be met at all times outside the assigned mixing zone;

(c) For sewage treatment plants that are authorized to use recycled water pursuant to OAR 340, division 55, and that also use a storage pond as a means to dechlorinate their effluent prior to discharge to public waters, effluent limitations for bacteria may, upon request by the permittee, be based upon appropriate total coliform limits as required by OAR 340, division 55:

(i) Class C limitations: No two consecutive samples may exceed 240 total coliform per 100 milliliters.

(ii) Class A and Class B limitations: No single sample may exceed 23 total coliform per 100 milliliters.

(iii) No violation will be found for an exceedance under this paragraph if the permittee takes at least five consecutive re-samples at four hour intervals beginning as soon as practicable (preferably within 28 hours) after the original sample(s) were taken; and in the case of Class C recycled water, the log mean of the five re-samples is less than or equal to 23 total coliform per 100 milliliters or, in the case of Class A and Class B recycled water, if the log mean of the five re-samples is less than or equal to 2.2 total coliform per 100 milliliters.

(6) Sewer Overflows in winter: Domestic waste collection and treatment facilities are prohibited from discharging raw sewage to waters of the State during the period of November 1 through May 21, except during a storm event greater than the one-in-five-year, 24-hour duration storm. However, the following exceptions apply:

(a) The Commission may on a case-by-case basis approve a bacteria control management plan to be prepared by the permittee, for a basin or specified geographic area which describes hydrologic conditions under which the numeric bacteria criteria would be waived. These plans will identify the specific hydrologic conditions, identify the public notification and education processes that will be followed to inform the public about an event and the plan, describe the water quality assessment conducted to determine bacteria sources and loads associated with the specified hydrologic conditions, and describe the bacteria control program that is being implemented in the basin or specified geographic area for the identified sources;

(b) Facilities with separate sanitary and storm sewers existing on January 10, 1996, and which currently experience sanitary sewer overflows due to inflow and infiltration problems, must submit an acceptable plan to the Department at the first permit renewal, which describes actions that will be taken to assure compliance with the discharge prohibition by January 1, 2010. Where discharges occur to a receiving stream with sensitive beneficial uses, the Department may negotiate a more aggressive schedule for discharge elimination;

(c) On a case-by-case basis, the beginning of winter may be defined as October 15, if the permittee so requests and demonstrates to the Department's satisfaction that the risk to beneficial uses, including water contact recreation, will not be increased due to the date change.

(7) Sewer Overflows in summer: Domestic waste collection and treatment facilities are prohibited from discharging raw sewage to waters of the State during the period of May 22 through October 31, except during a storm event greater than the one-in-ten-year, 24-hour duration storm. The following exceptions apply:

(a) For facilities with combined sanitary and storm sewers, the Commission may on a case-by-case basis approve a bacteria control management plan such as that described in subsection (6)(a) of this rule;

(b) On a case-by-case basis, the beginning of summer may be defined as June 1 if the permittee so requests and demonstrates to the Department's satisfaction that the risk to beneficial uses, including water contact recreation, will not be increased due to the date change;

(c) For discharge sources whose permit identifies the beginning of summer as any date from May 22 through May 31: If the permittee demonstrates to the Department's satisfaction that an exceedance occurred between May 21 and June 1 because of a sewer overflow, and that no increase in risk to beneficial uses, including water contact recreation, occurred because of the exceedance, no violation may be triggered, if the storm associated with the overflow was greater than the one-in-five-year, 24-hour duration storm.

(8) Storm Sewers Systems Subject to Municipal NPDES Stormwater Permits: Best management practices must be implemented for permitted storm sewers to control bacteria to the maximum extent practicable. In addition, a collection-system evaluation must be performed prior to permit issuance or renewal so that illicit and cross connections are identified. Such connections must be removed upon identification. A collection system evaluation is not required where the Department determines that illicit and cross connections are unlikely to exist.

(9) Storm Sewers Systems Not Subject to Municipal NPDES Stormwater Permits: A collection system evaluation must be performed of non-permitted storm sewers by January 1, 2005, unless the Department determines that an evaluation is not necessary because illicit and cross connections are unlikely to exist. Illicit and cross-connections must be removed upon identification.

(10) Water Quality Limited for Bacteria: In those water bodies, or segments of water bodies identified by the Department as exceeding the relevant numeric criteria for bacteria in the basin standards and designated as water-quality limited under section 303(d) of the Clean Water Act, the requirements specified in section 11 of this rule and in OAR 340-041-0061(11) must apply.

(11) In water bodies designated by the Department as water-quality limited for bacteria, and in accordance with priorities established by the Department, development and implementation of a bacteria management plan may be required of those sources that the Department determines to be contributing to the problem. The Department may determine that a plan is not necessary for a particular stream segment or segments within a water-quality limited basin based on the contribution of the segment(s) to the problem. The bacteria management plans will identify the technologies, best management practices and/or measures and approaches to be implemented by point and nonpoint sources to limit bacterial contamination. For point sources, their National Pollutant Discharge Elimination System permit is their bacteria management plan. For nonpoint sources, the bacteria management plan will be developed by designated management agencies (DMAs) which will identify the appropriate best management practices or measures and approaches.

Stat. Auth.: ORS 468.020, 468B.030, 468B.035 & 468B.048
Stats. Implemented: ORS 468B.030, 468B.035 & 468B.048
Hist.: DEQ 17-2003, f. & cert. ef. 12-9-03; DEQ 6-2008, f. & cert. ef. 5-5-08; DEQ 10-2011, f. & cert. ef. 7-13-11

340-040-0020

General Policies

(1) Groundwater is a critical natural resource providing domestic, industrial, and agricultural water supply; and other legitimate beneficial uses; and also providing base flow for rivers, lakes, streams, and wetlands.

(2) Groundwater, once polluted, is difficult and sometimes impossible to clean up. Therefore, the EQC shall employ an anti-degradation policy to emphasize the prevention of groundwater pollution, and to control waste discharges to groundwater so that the highest possible water quality is maintained.

(3) All groundwaters of the state shall be protected from pollution that could impair existing or potential beneficial uses for which the natural water quality of the groundwater is adequate. Among the recognized beneficial uses of groundwater, domestic water supply is recognized as being the use that would usually require the highest level of water quality. Existing high quality groundwaters which exceed those levels necessary to support recognized and legitimate beneficial uses shall be maintained except as provided for in these rules.

(4) Numerical groundwater quality reference levels and guidance levels are listed in Tables 1 through 3 of this Division. These levels have been obtained from the Safe Drinking Water Act, and indicate when groundwater may not be suitable for human consumption or when the aesthetic quality of groundwater may be impaired. They will be used by the Department and the public to evaluate the significance of a particular contaminant concentration, and will trigger necessary regulatory action. These levels should not be construed as acceptable groundwater quality goals because it is the policy of the EQC to maintain and preserve the highest possible water quality.

(5) For pollutant parameters for which numerical groundwater quality reference levels or guidance levels have not been established, or for evaluating adverse impacts on beneficial uses other than human consumption, the Department shall make use of the most current and scientifically valid information available in determining at what levels pollutants may affect present or potential beneficial uses. Such information shall include, but not be limited to, values set forth in OAR 340-041-0033 .

(6) The Department shall develop, implement and conduct a comprehensive groundwater quality protection program. The program shall contain strategies and methods for problem prevention, problem abatement and the control of both point and nonpoint sources of groundwater pollution. The Department shall seek the assistance of federal, state, and local governments in implementing the program.

(7) In order to assure maximum reasonable protection of public health, the public shall be informed that groundwater, and most particularly local flow systems or water table aquifers, may not be suitable for human consumption due either to natural or human-caused pollution problems, and shall not be assumed to be safe for domestic use unless quality testing demonstrates a safe supply. The Department shall work cooperatively with the Water Resources Department and the Health Division in identifying areas where groundwater pollution may affect beneficial uses.

(8) It is the policy of the EQC that groundwater quality be protected throughout the state. The Department will concentrate its groundwater quality protection implementation efforts in areas where practices and activities have the greatest potential for degrading groundwater quality, and where potential groundwater quality pollution would have the greatest adverse impact on beneficial uses.

(9) The Department, as lead agency for groundwater quality protection, shall work cooperatively with the Water Resources Department, the lead agency for groundwater quantity management, to characterize the physical and chemical charac-teristics of the aquifers of the state. The Department will seek the assistance and cooperation of the Water Resources Department to design an ambient monitoring program adequate to determine representative groundwater quality for significant groundwater flow systems. The Department shall assist and cooperate with the Water Resources Department in its groundwater studies. The Department shall also seek the advice, assistance, and cooperation of local, state, and federal agencies to identify and resolve ground-water quality problems.

(10) It is the intent of the EQC to see that groundwater problems associated with areawide on-site sewage disposal are corrected by developing and implementing areawide abatement plans. In order to accomplish this, all available and appropriate statutory and administrative authorities will be utilized, including but not limited to: permits, special permit conditions, penalties, fines, EQC orders, compliance schedules, moratoriums, Department orders, and geographic area rules (OAR 340-071-0400). It is recognized, however, that in some cases the identification, evaluation and implementation of abatement measures may take time and that continued degradation may occur while the plan is being developed and implemented. The EQC may allow short-term continued degradation only if the beneficial uses, public health, and groundwater resources are not significantly affected, and only if the approved abatement plan is being implemented on a schedule approved by the Department.

(11) In order to minimize groundwater quality degradation potentially resulting from point source activities, point sources shall employ the highest and best practicable methods to prevent the movement of pollutants to groundwater. Among other factors, available technologies for treatment and waste reduction, cost effectiveness, site characteristics, pollutant toxicity and persistence, and state and federal regulations shall be considered in arriving at a case-by-case determination of highest and best practicable methods that protect public health and the environment.

(12) In regulating point source activities that could result in the disposal of wastes onto or into the ground in a manner which allows potential movement of pollutants to groundwater, the Department shall utilize all available and appropriate statutory and administrative authorities, including but not limited to: permits, fines, EQC orders, compliance schedules, moratoriums, Depart-ment orders, and geographic area rules. Groundwater quality protection requirements shall be implemented through the Department's Water Pollution Control Program, Solid Waste Disposal Program, On-Site Sewage Disposal System Construction Program, Hazardous Waste Facility (RCRA) Program, Underground Injection Control Program, Emergency Spill Response Program, or other programs, whichever is appropriate.

Table 1

NUMERICAL GROUNDWATER QUALITY REFERENCE LEVELS: 1

Inorganic Contaminants -- Reference Level (mg/L)

Arsenic -- 0.05

Barium -- 1.0

Cadmium -- 0.01

Chromium -- 0.05

Fluoride -- 4.0

Lead -- 0.05

Mercury -- 0.002

Nitrate-N -- 10.0

Selenium -- 0.01

Silver -- 0.05

1All reference levels are for total (unfiltered) concentrations unless otherwise specified by the Department.

 

Table 2

NUMERICAL GROUNDWATER QUALITY REFERENCE LEVELS (Continued): 1

Organic Contaminants -- Reference Level (mg/L)

Benzene -- 0.005

Carbon Tetrachloride -- 0.005

p-Dichlorobenzene -- 0.075

1,2-Dichloroethane -- 0.005

1,1-Dichloroethylene -- 0.007

1,1,1-Trichloroethane -- 0.200

Trichloroethylene -- 0.005

Total Trihalomethanes -- 0.100

(the sum of concentrations bromodichloromethane, dibromochloromethane, tribromomethane (bromoform), and trichloromethane (chloroform))

Vinyl Chloride -- 0.002

2,4-D -- 0.100

Endrin -- 0.0002

Lindane -- 0.004

Methoxychlor -- 0.100

Toxaphene -- 0.005

2,4,5-TP Silvex -- 0.010

1All reference levels are for total (unfiltered) concentrations unless otherwise specified by the Department.

 

Table 3

NUMERICAL GROUNDWATER QUALITY GUIDANCE LEVELS: 1

Miscellaneous Contaminants -- Guidance Level (mg/L) 2

Chloride -- 250

Color -- 15 Color Units

Copper -- 1.0

Foaming agents -- 0.5

Iron -- 0.3

Manganese -- 0.05

Odor -- 3 Threshold odor number

pH -- 6.5-8.5

Sulfate -- 250

Total dissolved solids -- 500

Zinc -- 5.0

1All guidance levels except total dissolved solids and are for total (unfiltered) concentrations unless otherwise specified by the Department.

2Unless otherwise specified, except pH.

Stat. Auth.: ORS 468 & ORS 468B
Stats. Implemented: 
ORS 468.020, ORS 468.035, ORS 468B.155 & ORS 468B.165
Hist.: DEQ 24-1981, f. & ef. 9-8-81; DEQ 13-1984, f. & ef. 7-13-84; DEQ 27-1989, f. & cert. ef. 10-27-89; Renumbered from 340-041-0029; DEQ 4-1996, f. & cert. ef. 3-7-96

 

340-040-0080

Numerical Groundwater Quality Reference Levels and Guidance Levels

(1) The numerical groundwater quality reference levels and guidance levels contained in Tables 1 through 3 of this Division are to be considered by the Department and the public in weighing the significance of a particular chemical concentration, and in determining the level of remedial action necessary to restore contaminated groundwater for human consumption. They are not to be construed as acceptable groundwater quality management goals. They are to be used by the Director and the EQC in establishing permit-specific and remedial action concentration limits according to the requirements of OAR 340-040-0030 through 340-040-0060.

(2) The Department shall periodically review information as it becomes available for establishing new numerical groundwater quality reference levels and guidance levels, and to ensure consistency with other statutorily mandated standards.

(3) Human consumption is recognized as the highest and best use of groundwater, and the use which usually requires the highest level of water quality. The numerical groundwater quality reference levels listed in Tables 1 and 2 of this Division reflect the suitability of groundwater for human consumption.

(4) The numerical groundwater quality guidance levels listed in Table 3 of this Division are for contaminants which do not adversely impact human health at the given concentrations. At considerably higher concentrations, human health implications may exist. These guidance levels are for contaminants that primarily affect the aesthetic qualities relating to the public acceptance of drinking water. The aesthetic degradation of groundwater may impair its beneficial use.

(5) For pollutant parameters for which numerical ground-water quality reference levels or guidance levels have not been established and listed in Tables 1 through 3, or for evaluating adverse impacts on beneficial uses other than human consumption, the Department shall make use of the most current and scientifically valid information available in determining at what levels pollutants may affect present or potential beneficial uses. Such information shall include, but not be limited to, values set forth in OAR 340-041-0033.

Stat. Auth.: ORS 468 & ORS 468B
Stats. Implemented: 
ORS 468.020, ORS 468.035, ORS 468B.155 & ORS 468B.165
Hist.: DEQ 24-1981, f. & ef. 9-8-81; DEQ 13-1984, f. & ef. 7-13-84; DEQ 27-1989, f. & cert. ef. 10-27-89; Renumbered from 340-041-0029

Note to Readers:

Proposed changes (in redlined font) to the Toxic Substances rule would move all the aquatic life criteria from Tables 20, 33A, and 33B into one new aquatic life criteria table, Table 30. As a result of this movement, Tables 20, 33A, and 33B are no longer needed and the proposal would delete the tables from the Toxic Substances rule in OAR 340-041-0033 (see deleted Tables 20, 33A, and 33B following Table 40 proposed revisions). Table 30 contains criteria established to protect fish and aquatic life use, including the criteria that (1) EPA approved in their Jan. 31, 2013 action; (2) remained unchanged; (3) are proposed to address an EPA disapproval; and (4) were previously effective (i.e. criteria contained in Table 20) for those cases where EPA disapproved pollutant criteria contained in Tables 33A or 33B and DEQ is not proposing remedies to address the disapprovals at this time. When a criterion submitted to EPA by the state is disapproved by EPA, the previously effective criterion remains in effect for federal Clean Water Act purposes.

The criteria in black type (i.e. not redline strikethrough) in Table 30 are currently effective and do not require Environmental Quality Commission adoption or EPA approval. Conversely, the redline/strikethrough proposed changes to Table 30 reflect corrections or clarifications to criteria, footnotes, and introductory language (originally associated with or contained in Tables 20, 33A, or 33B) to correct an EPA disapproval, or show changes to provide further clarifications on the toxics tables or rule language. The EQC must adopt these proposed changes and EPA must approve them before they become effective. The language portrayed in grey is explanatory in nature, intended to help the reader understand the origin of the criteria in the proposed table. Footnotes and endnotes may be found within the table and at the end of the table.

The aquatic life toxic criteria in Tables 20, 33A, and 33B that are submitted for EQC adoption and Secretary of State filing must show complete strikethrough of the tables because the tables will be deleted from the Toxics Substances rule. Because Table 30 will be a completely new table, the Secretary of State requires that the entire table be in red/underline text. Therefore, the table below provides a crosswalk of what the EQC previously adopted and the revisions DEQ proposes to make. The redline version of Table 30 follows the crosswalk.

A recent change in the Secretary of State Bulletin now allows for criteria tables to be attached to the Oregon Administrative Rules; therefore, proposed changes found at the end of the Toxic Substances rule state that Tables 30, 31 (aquatic life guidance values), and 40 (human health toxics criteria) will be attached as PDF documents.

 

 

 

 

 

 

CROSSWALK

TABLE 30: Aquatic Life Water Quality Criteria for Toxic Pollutants

Effective April 18, 2014

 

Aquatic Life Criteria Summary

 

The criteria for each compound listed in Table 303A must not be exceeded in waters of the state in order to protect aquatic life. The aquatic life criteria apply to waterbodies where fish and aquatic life is a designated beneficial use. All values are expressed as micrograms per liter (µg/L) except where noted. Compounds are listed in alphabetical order with the corresponding information: EPA number (from National Recommended Water Quality Criteria: 2002, EPA-822-R-02-047), the Chemical Abstract Service (CAS) number, whether there is a human health criterion for the pollutant (i.e. “y”= yes, “n” = no), and the associated. aquatic life freshwater and saltwater acute and chronic criteria, aquatic life saltwater acute and chronic criteria . Italicized pollutants are not identified as priority pollutants by EPA. Dashes in the table column indicate that there is no aquatic life criterion for that pollutant.

 

Unless otherwise noted in the table below, the acute criterion is the Criterion Maximum Concentration (CMC) applied as a one hour average concentration, and the chronic criterion is the Criterion Continuous Concentration (CCC) applied as a 96 hour (4 day) average concentration.The CMC and CCC criteria may not be exceeded more than once every three years. Footnote A, associated with eleven pesticide pollutants in Table 30, describes the exception to the frequency and duration of the toxics criteria stated in this paragraph.

Note on edits above: The paragraph above originated from the introductory language in Tables 33A and 33B. Redline text generally reflects DEQ’s proposed clarifying language. The last sentence referencing Footnote A (previously Footnote O in Tables 33A and 33B) will address EPA’s disapproval of 11 pesticides that have different frequencies and durations than the other toxic pollutants. EPA’s disapproval of 11 pesticides related to the frequency and duration statements that DEQ added to the introductory language in Tables 33A and 33B in 2004. EPA’s action letter indicated that when DEQ added the frequency and duration language to the introduction, it had the effect of changing the frequency and duration for the 11 pesticides. DEQ interpreted the introductory language in Table 33A with regards to the criteria frequency and duration as general in nature and that Footnote “O” for the pesticides superseded this general statement. It is DEQ’s intention that by adding the last sentence to the introductory paragraph above that it will clarify for the 11 pesticide criteria that Footnote A (previously Footnote O) supersedes the default frequency and duration components associated with the other aquatic toxic pollutants. Although EPA did not disapprove Footnote O, DEQ proposes to provide further clarification. See those revisions in Table 30 as re-named Footnote A.

 

Table 30

 

Aquatic Life Water Quality Criteria for Toxic Pollutants

 

 

Pollutant

CAS No.

Human Health Criterion

Freshwater

(µg/L)

Saltwater

(µg/L)

    

Acute Criterion (CMC)

Chronic Criterion (CCC)

Acute Criterion (CMC)

Chronic Criterion (CCC)

1

Aldrin

309002

y

3 A

[From Table 20]

DEQ proposing to retain currently effective magnitude and clarify frequency, duration and footnote.

Addresses EPA disapproval.

--

1.3 A

[From Table 20]

DEQ proposing to retain currently effective magnitude and clarify frequency, duration and footnote.

Addresses EPA disapproval

 

--

A See expanded endnote A at bottom of Table 30 for alternate frequency and duration of this criterion.

2

Alkalinity

n

--

20,000 B

[From Table 33A]

no change in criterion

--

--

B Criterion shown is the minimum (i.e. CCC in water may not be below this value in order to protect aquatic life).

3

 

 

 
  

 

[From Table 33B]

DEQ proposing to delete criterion from table.

EPA disapproved criterion and there is no replacement criterion in Table 20.

DEQ will propose remedies to address disapproval in a subsequent rulemaking

 

[From Table 33B]

DEQ proposing to delete criterion from table.

EPA disapproved criterion and there is no replacement criterion in Table 20.

DEQ will propose remedies to address disapproval in a subsequent rulemaking

--

--

3

Ammonia

7664417

n

Criteria are pH, temperature, and salmonid or sensitive coldwater species dependent-- See document USEPA January 1985 (Fresh Water).M

[From Table 20]

EPA disapproved Table 33B criteria—revert back to Table 20 criteria. Criteria do not need EQC adoption or EPA approval.

DEQ will propose remedies to address disapproval in a subsequent rulemaking

Ammonia criteria for saltwater may depend on pH and temperature. Values for saltwater criteria (total ammonia) can be calculated from the tables specified in Ambient Water Quality Criteria for Ammonia (Saltwater)--1989 (EPA 440/5-88-004;

http://water.epa.gov/scitech/swguidance/standards/criteria/current/index.cfm

[From Table 33A]

EPA approved non-substantive changes to footnote. No change to criterion.

DEQ proposing to update footnote with corrected website.

M See expanded endnote M equations at bottom of Table 30 to calculate freshwater ammonia criteria

[DEQ is proposing to add the freshwater equations from the 1985 EPA criteria document for easier reference]

4

Arsenic

7440382

y

340 C, D

[From 2004 Table 33B]

DEQ proposing to re-adopt this criterion which was previously adopted in 2004 from Table 33B, but was inadvertently removed during the 2007 rule adoptions. Strikethrough reflects currently effective criterion in Table 20.

EPA did not take action on this criterion.

150 C, D

[From 2004 Table 33B]

DEQ proposing to re-adopt this criterion which was previously adopted in 2004 from Table 33B, but was inadvertently removed during the 2007 rule adoptions. Strikethrough reflects currently effective criterion in Table 20.

EPA did not take action on this criterion.

69 C, D

[From 2004 Table 33B]

DEQ proposing to re-adopt this criterion which was previously adopted in 2004 from Table 33B, but was inadvertently removed during the 2007 rule adoptions.

EPA did not take action on this criterion.

36 C, D

[From 2004 Table 33B]

DEQ proposing to re-adopt this criterion which was previously adopted in 2004 from Table 33B, but was inadvertently removed during the 2007 rule adoptions.

EPA did not take action on this criterion.

C Freshwater and saltwater criteria Criterion for metals are is expressed in terms of “dissolved” concentrations in the water column., except where otherwise noted (e.g. aluminum) [Changed footnote from Table 33B footnote to account for a few exceptions and because there will no longer be criteria for aluminum.]

D Criterion is applied as total inorganic arsenic (i.e. arsenic (III) + arsenic (V)). [Footnote originated in Table 33B and re-proposed here. Added “inorganic” for better clarity]

5

BHC Gamma (Lindane)

58899

y

0.95

[From Table 33A]

approved and effective

 

 

0.08 A

[From Table 20]

DEQ proposing to retain currently effective magnitude and clarify frequency, duration and footnote.

Addresses EPA disapproval.

0.16 A

[From Table 20]

DEQ proposing to retain currently effective magnitude and clarify frequency, duration and footnote.

Addresses EPA disapproval.

 

A See expanded endnote A at bottom of Table 30 for alternate frequency and duration of this criterion.

6

Cadmium

7440439

n

See E

[from Table 20]

EPA disapproved Table 33B criterion—revert back to Table 20 criterion. Criterion does not need EQC adoption or EPA approval.

 

DEQ will propose remedies to address disapproval in a subsequent rulemaking.

See C, F

[from Table 33B]

approved and effective

 

 

 

40 C

[From Table 33B]

approved and effective

 

8.8 C

[From Table 33B]

approved and effective

 

C Freshwater and saltwater criteria Criterion for metals are is expressed in terms of “dissolved” concentrations in the water column., except where otherwise noted (e.g. aluminum). [Changed footnote from Table 33B footnote to account for a few exceptions and because there will no longer be criteria for aluminum.]

E The freshwater criterion for this metal is expressed as a function of hardness (mg/L) in the water column. To calculate the criterion, use formula under expanded endnote E at bottom of Table 30.

F The freshwater criterion for this metal is expressed as a function of hardness (mg/L) in the water column. To calculate the criterion, use formula under expanded endnote F at bottom of Table 30.

7

Chlordane

57749

y

2.4 A

[From Table 20]

DEQ proposing to retain currently effective magnitude and clarify frequency, duration and footnote.

Addresses EPA disapproval.

0.0043 A

[From Table 20]

DEQ proposing to retain currently effective magnitude and clarify frequency, duration and footnote.

Addresses EPA disapproval.

0.09 A

[From Table 20]

DEQ proposing to retain currently effective magnitude and clarify frequency, duration and footnote.

Addresses EPA disapproval.

0.004 A

[From Table 20]

DEQ proposing to retain currently effective magnitude and clarify frequency, duration and footnote.

Addresses EPA disapproval.

A See expanded endnote A at bottom of Table 30 for alternate frequency and duration of this criterion.

8

Chloride

16887006

n

860,000

[From Table 33A]

no change in criterion

230,000

[From Table 33A]

no change in criterion

--

--

9

Chlorine

7782505

n

19

[From Table 33A]

no change in criterion

11

[From Table 33A]

no change in criterion

13

[From Table 33A]

no change in criterion

7.5

[From Table 33A]

no change in criterion

10

Chlorpyrifos

2921882

n

0.083

[From Table 33A]

no change in criterion

0.041

[From Table 33A]

no change in criterion

0.011

[From Table 33A]

no change in criterion

0.0056

[From Table 33A]

no change in criterion

11

Chromium III

16065831

 

n

See C, F

[From Table 33B]

approved and effective

See C, F

[From Table 33B]

approved and effective

--

--

C Freshwater and saltwater criteria Criterion for metals are is expressed in terms of “dissolved” concentrations in the water column., except where otherwise noted (e.g. aluminum) [Changed footnote from Table 33B footnote to account for a few exceptions and because there will no longer be criteria for aluminum.]

F The freshwater criterion for this metal is expressed as a function of hardness (mg/L) in the water column. To calculate the criterion, use formula under expanded endnote F at bottom of Table 30.

12

Chromium VI

18540299

n

16 C

[From Table 33B]

approved and effective

 

 

11 C

[From Table 33B]

approved and effective

 

1100C

[From 2004 Table 33B]

DEQ proposing to re-adopt this criterion which was previously adopted in 2004 from Table 33B, but was inadvertently removed during the 2007 rule adoptions. Strikethrough reflects currently effective criterion in Table 20 as total recoverable

EPA did not take action on this criterion.

50C

[From 2004 Table 33B]

DEQ proposing to re-adopt this criterion which was previously adopted in 2004 from Table 33B, but was inadvertently removed during the 2007 rule adoptions. Strikethrough reflects currently effective criterion in Table 20 as total recoverable

EPA did not take action on this criterion.

C Freshwater and saltwater criteria Criterion for metals are is expressed in terms of “dissolved” concentrations in the water column., except where otherwise noted (e.g. aluminum)[Changed footnote from Table 33B footnote to account for a few exceptions and because there will no longer be criteria for aluminum.]

13

Copper

7440508

y

See E

[from Table 20]

EPA disapproved Table 33B criterion—revert back to Table 20 criterion. Criterion does not need EQC adoption or EPA approval.

DEQ will propose remedies to address disapproval in a subsequent rulemaking.

 

See E

[from Table 20]

EPA disapproved Table 33B criterion—revert back to Table 20 criterion. Criterion does not need EQC adoption or EPA approval.

DEQ will propose remedies to address disapproval in a subsequent rulemaking.

4.8 C

[From Table 33B]

approved and effective

 

3.1 C

[From Table 33B]

approved and effective

 

C Freshwater and saltwater criteria Criterion for metals are is expressed in terms of “dissolved” concentrations in the water column., except where otherwise noted (e.g. aluminum) [Changed footnote from Table 33B footnote to account for a few exceptions and because there will no longer be criteria for aluminum.]

E The freshwater criterion for this metal is expressed as a function of hardness (mg/L) in the water column. To calculate the criterion, use formula under expanded endnote E at bottom of Table 30.

14

Cyanide

57125

y

22 J

[From Table 33A]

no change in criterion

5.2 J

[From Table 33A]

no change in criterion

1 J

[From Table 33A]

no change in criterion

1 J

[From Table 33A]

no change in criterion

J This criterion is expressed as µg free cyanide (CN)/L.

15

DDT 4,4'

50293

y

1.1 A , G

[From Table 20]

DEQ proposing to retain currently effective magnitude and clarify frequency, duration and footnote.

Addresses EPA disapproval

0.001 A, G

[From Table 20]

DEQ proposing to retain currently effective magnitude and clarify frequency, duration and footnote.

Addresses EPA disapproval

0.13 A, G

[From Table 20]

DEQ proposing to retain currently effective magnitude and clarify frequency, duration and footnote.

Addresses EPA disapproval

0.001 A, G

[From Table 20]

DEQ proposing to retain currently effective magnitude and clarify frequency, duration and footnote.

Addresses EPA disapproval

A See expanded endnote A at bottom of Table 30 for alternate frequency and duration of this criterion.

G This criterion applies to DDT and its metabolites (i.e. the total concentration of DDT and its metabolites should not exceed this value).

16

Demeton

8065483

n

--

0.1

[From Table 33A]

no change in criterion

--

0.1

[From Table 33A]

no change in criterion

17

Dieldrin

60571

y

0.24

[From Table 33A]

approved and effective

 

 

0.056

[From Table 33B]

approved and effective

 

 

0.71A

[From Table 20]

DEQ proposing to retain currently effective magnitude and clarify frequency, duration and footnote.

Addresses EPA disapproval

0.0019A

[From Table 20]

DEQ proposing to retain currently effective magnitude and clarify frequency, duration and footnote.

Addresses EPA disapproval

A See expanded endnote A at bottom of Table 30 for alternate frequency and duration of this criterion.

18

Endosulfan

115297

n

0.22 A , H P

[From Table 20]

DEQ proposing to retain currently effective magnitude and clarify frequency, duration and footnote.

Addresses EPA disapproval

0.056 A , H P

[From Table 20]

DEQ proposing to retain currently effective magnitude and clarify frequency, duration and footnote.

Addresses EPA disapproval

0.034 A , H P

[From Table 20]

DEQ proposing to retain currently effective magnitude and clarify frequency, duration and footnote.

Addresses EPA disapproval

0.0087 A, H P

[From Table 20]

DEQ proposing to retain currently effective magnitude and clarify frequency, duration and footnote.

Addresses EPA disapproval

A See expanded endnote A at bottom of Table 30 for alternate frequency and duration of this criterion.

H This value is based on the criterion published in Ambient Water Quality Criteria for Endosulfan (EPA 440/5-80-046) and should be applied as the sum of alpha- and beta-endosulfan.

P Criterion shown is the minimum (i.e. CCC in water should not be below this value in order to protect aquatic life).

[Incorrect footnote per EPA--associated w/alkalinity criterion. Replace with Footnote A above]

19

Endosulfan Alpha

959988

y

0.22 A

[From Table 33A]

DEQ proposing to retain magnitude originally submitted in 2004 and clarify frequency, duration and footnote. No replacement criterion in Table 20.

Addresses EPA disapproval

0.056 A

[From Table 33A]

DEQ proposing to retain magnitude originally submitted in 2004 and clarify frequency, duration and footnote. No replacement criterion in Table 20.

Addresses EPA disapproval

0.034 A

[From Table 33A]

DEQ proposing to retain magnitude originally submitted in 2004 and clarify frequency, duration and footnote. No replacement criterion in Table 20.

Addresses EPA disapproval

0.0087 A

[From Table 33A]

DEQ proposing to retain magnitude originally submitted in 2004 and clarify frequency, duration and footnote. No replacement criterion in Table 20.

Addresses EPA disapproval

A See expanded endnote A at bottom of Table 30 for alternate frequency and duration of this criterion.

20

Endosulfan Beta

33213659

y

0.22 A

[From Table 33A]

DEQ proposing to retain magnitude originally submitted in 2004 and clarify frequency, duration and footnote. No replacement criterion in Table 20.

Addresses EPA disapproval

0.056 A

[From Table 33A]

DEQ proposing to retain magnitude originally submitted in 2004 and clarify frequency, duration and footnote. No replacement criterion in Table 20.

Addresses EPA disapproval

0.034 A

[From Table 33A]

DEQ proposing to retain magnitude originally submitted in 2004 and clarify frequency, duration and footnote. No replacement criterion in Table 20.

Addresses EPA disapproval

0.0087 A

[From Table 33A]

DEQ proposing to retain magnitude originally submitted in 2004 and clarify frequency, duration and footnote. No replacement criterion in Table 20.

Addresses EPA disapproval

A See expanded endnote A at bottom of Table 30 for alternate frequency and duration of this criterion.

21

Endrin

72208

y

0.086

[From Table 33A]

approved and effective

 

 

0.036

[From Table 33B]

approved and effective

 

 

0.037 A

[From Table 20]

DEQ proposing to retain currently effective magnitude and clarify frequency, duration and footnote.

Addresses EPA disapproval

0.0023 A

[From Table 20]

DEQ proposing to retain currently effective magnitude and clarify frequency, duration and footnote.

Addresses EPA disapproval

A See expanded endnote A at bottom of Table 30 for alternate frequency and duration of this criterion.

22

Guthion

86500

n

--

0.01

[From Table 33A]

no change in criterion

--

0.01

[From Table 33A]

no change in criterion

23

Heptachlor

76448

y

0.52 A

[From Table 20]

DEQ proposing to retain currently effective magnitude and clarify frequency, duration and footnote.

Addresses EPA disapproval

0.0038 A

[From Table 20]

DEQ proposing to retain currently effective magnitude and clarify frequency, duration and footnote.

Addresses EPA disapproval

0.053 A

[From Table 20]

DEQ proposing to retain currently effective magnitude and clarify frequency, duration and footnote.

Addresses EPA disapproval

0.0036 A

[From Table 20]

DEQ proposing to retain currently effective magnitude and clarify frequency, duration and footnote.

Addresses EPA disapproval

A See expanded endnote A at bottom of Table 30 for alternate frequency and duration of this criterion.

24

Heptachlor Epoxide

1024573

y

0.52 A

[From Table 33A]

DEQ proposing to retain magnitude originally submitted in 2004 and clarify frequency, duration and footnote. No replacement criterion in Table 20.

Addresses EPA disapproval

0.0038 A

[From Table 33A]

DEQ proposing to retain magnitude originally submitted in 2004 and clarify frequency, duration and footnote. No replacement criterion in Table 20.

Addresses EPA disapproval

0.053 A

[From Table 33A]

DEQ proposing to retain magnitude originally submitted in 2004 and clarify frequency, duration and footnote. No replacement criterion in Table 20.

Addresses EPA disapproval

0.0036 A

[From Table 33A]

DEQ proposing to retain magnitude originally submitted in 2004 and clarify frequency, duration and footnote. No replacement criterion in Table 20.

Addresses EPA disapproval

A See expanded endnote A at bottom of Table 30 for alternate frequency and duration of this criterion.

25

Iron (total)

7439896

n

--

1000

[From Table 33A]

no change in criterion

--

--

26

Lead

7439921

n

See C , F

[From Table 33B]

approved and effective

See C , F

[From Table 33B]

approved and effective

210 C

[From Table 33B]

approved and effective

8.1 C

[From Table 33B]

approved and effective

C Freshwater and saltwater criteria Criterion for metals are is expressed in terms of “dissolved” concentrations in the water column., except where otherwise noted (e.g. aluminum) [Changed footnote from Table 33B footnote to account for a few exceptions and because there will no longer be criteria for aluminum.]

F The freshwater criterion for this metal is expressed as a function of hardness (mg/L) in the water column. To calculate the criterion, use formula under expanded endnote F at bottom of Table 30.

27

Malathion

121755

n

--

0.1

[From Table 33A]

no change in criterion

--

0.1

[From Table 33A]

no change in criterion

28

Mercury (total)

7439976

n

2.4

[From Table 33A]

no change in criterion

0.012

[From Table 33A]

no change in criterion

2.1

[From Table 33A]

no change in criterion

0.025

[From Table 33A]

no change in criterion

29

Methoxychlor

72435

y

--

0.03

[From Table 33A]

no change in criterion

--

0.03

[From Table 33A]

no change in criterion

30

Mirex

2385855

n

--

0.001

[From Table 33A]

no change in criterion

--

0.001

[From Table 33A]

no change in criterion

31

Nickel

7440020

y

See C , F

[From Table 33B]

approved and effective

See C , F

[From Table 33B]

approved and effective

74 C

[From Table 33B]

approved and effective

8.2 C

[From Table 33B]

approved and effective

C Freshwater and saltwater criteria Criterion for metals are is expressed in terms of “dissolved” concentrations in the water column., except where otherwise noted (e.g. aluminum) [Changed footnote from Table 33B footnote to account for a few exceptions and because there will no longer be criteria for aluminum.]

F The freshwater criterion for this metal is expressed as a function of hardness (mg/L) in the water column. To calculate the criterion, use formula under expanded endnote F at bottom of Table 30.

32

Parathion

56382

n

0.065

[From Table 33A]

no change in criterion

0.013

[From Table 33A]

no change in criterion

--

--

33

Pentachlorophenol

87865

y

See H

[From Table 33A]

approved and effective

See H

[From Table 33B]

approved and effective

13

[From Table 33A]

no change in criterion

7.9

[From Table 33A]

approved and effective

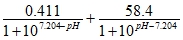
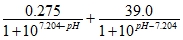
H Freshwater aquatic life values for pentachlorophenol are expressed as a function of pH, and are calculated as follows: CMC=(exp(1.005(pH)-4.869); CCC=exp(1.005(pH)-5.134).

34

Phosphorus Elemental

7723140

n

--

--

--

0.1

[From Table 33A]

no change in criterion

35

Polychlorinated Biphenyls (PCBs)

NA 

y

2 K

[From Table 33A]

no change in criterion

0.014 K

[From Table 33A]

no change in criterion

10 K

[From Table 33A]

no change in criterion

0.03 K

[From Table 33A]

no change in criterion

K This criterion applies to total PCBs (e.g. determined as Aroclors or congeners)the sum of all congener or all isomer or homolog or Arochlor analyses

[Note: Propose to revise footnote parenthetical to align with PCB footnote for human health criteria]

36

Selenium

7782492

y

See C , L

[From Table 33B]

DEQ proposing to correct magnitude originally submitted in 2004 by expressing the criterion as dissolved (i.e. by adding conversion factor to equation). Strikethrough reflects currently effective criterion in Table 20.

Addresses EPA disapproval

4.6 C

[From Table 33B-corrected]

DEQ proposing to correct magnitude originally submitted in 2004 (i.e. 5.0 ug/L) by expressing the criterion as dissolved (i.e. by multiplying the criterion of 5.0 by the conversion factor of 0.922). Strikethrough reflects currently effective criterion in Table 20.

Addresses EPA disapproval

290 C

[From Table 33B]

approved and effective

 

71 C

[From Table 33B]

approved and effective

 

C Freshwater and saltwater criteria Criterion for metals are is expressed in terms of “dissolved” concentrations in the water column., except where otherwise noted (e.g. aluminum) [Changed footnote from Table 33B footnote to account for a few exceptions and because there will no longer be criteria for aluminum.]

L The CMC=(1/[(f1/CMC1)+(f2/CMC2)]µg/L) * CF where f1 and f2 are the fractions of total selenium that are treated as selenite and selenate, respectively,and CMC1 and CMC2 are 185.9 μg/L and 12.82 μg/L, respectively. See expanded endnote F for the Conversion Factor (CF) for selenium.

[Note: Added CF (conversion factor) to freshwater acute equation to express the criterion as dissolved]

37

Silver

7440224

n

See C , F P

[From Table 33B]

approved and effective

0.10 C

[From Table 33B]

approved and effective

1.9 C P

[From Table 33B]

approved and effective

--

C Freshwater and saltwater criteria Criterion for metals are is expressed in terms of “dissolved” concentrations in the water column., except where otherwise noted (e.g. aluminum) [Changed footnote from Table 33B footnote to account for a few exceptions and because there will no longer be criteria for aluminum.]

F The freshwater acute criterion for this metal is expressed as a function of hardness (mg/L) in the water column. To calculate the criterion, use formula under expanded endnote F at bottom of Table 30.

P Criterion shown is the minimum (i.e. CCC in water should not be below this value in order to protect aquatic life).

[Propose to remove Footnote P per EPA disapproval action. Footnote is associated w/alkalinity criterion]

38

Sulfide Hydrogen Sulfide

7783064

n

--

2

[From Table 33A]

no change in criterion

--

2

[From Table 33A]

no change in criterion

39

Toxaphene

8001352

y

0.73

[From Table 33A]

no change in criterion

0.0002

[From Table 33A]

no change in criterion

0.21

[From Table 33A]

no change in criterion

0.0002

[From Table 33A]

no change in criterion

40

Tributyltin (TBT)

688733

n

0.46

[From Table 33B]

approved and effective

0.063

[From Table 33B]

approved and effective

0.37

[From Table 33B]

approved and effective

0.01

[From Table 33B]

approved and effective

41

Zinc

7440666

y

See C , F

[From Table 33B]

approved and effective

See C , F

[From Table 33B]

approved and effective

90 C

[From Table 33B]

approved and effective

81 C

[From Table 33B]

approved and effective

C Freshwater and saltwater criteria Criterion for metals are is expressed in terms of “dissolved” concentrations in the water column., except where otherwise noted (e.g. aluminum) [Changed footnote from Table 33B footnote to account for a few exceptions and because there will no longer be criteria for aluminum.]

F The freshwater criterion for this metal is expressed as a function of hardness (mg/L) in the water column. To calculate the criterion, use formula under expanded endnote F at bottom of Table 30.

 

 

Expanded Endnotes A, E, F, M

Endnote A: Alternate Frequency and Duration for Certain Pesticides

This criterion is based on EPA recommendations issued in 1980 that were derived using guidelines that differed from EPA's 1985 Guidelines which update minimum data requirements and derivation procedures. . The CMC may not be exceeded at any time and the CCC may not be exceeded based on a 24-hour average. The CMC may be applied using aone hour averaging period not to be exceeded more than once every three years, if the CMC values given in Table 30 are divided by 2 to obtain a value that is more comparable to a CMC derived using the 1985 Guidelines.

Endnote E: Equations for Hardness-Dependent Freshwater Metals Criteria for Cadmium Acute and Copper Acute and Chronic Criteria

 

The freshwater criterion for this metal is expressed as total recoverable with two significant figures, and is a function of hardness (mg/L) in the water column. Criteria values for hardness are calculated using the following formulas (CMC refers to the acute criterion; CCC refers to the chronic criterion):

CMC = (exp(mA*[ln(hardness)] + bA))

CCC = (exp(mC*[ln(hardness)] + bC))

Chemical

mA

bA

mC

bC

Cadmium

1.128

-3.828

N/A

N/A

Copper

0.9422

-1.464

0.8545

-1.465

 

 

 

 

 

[Proposed strikethrough to original footnote in Table 20: EPA disapproved the freshwater acute criterion for cadmium and the freshwater acute and chronic criteria for copper. The criteria were expressed as dissolved. Therefore, the criteria revert back to Table 20 criteria based on total recoverable (i.e. conversion factors should not be used) and utilize the hardness factors applicable at that time.]

Endnote F: Equations for Hardness-Dependent Freshwater Metals Criteria and Conversion Factor Table

The freshwater criterion for this metal is expressed as dissolved with two significant figures, and is a function of hardness (mg/L) in the water column. Criteria values for hardness are calculated using the following formulas (CMC refers to the acute criterion; CCC refers to the chronic criterion):

         CMC = (exp(mA*[ln(hardness)] + bA))*CF

         CCC = (exp(mC*[ln(hardness)] + bC))*CF

where CF is the conversion factor used for converting a metal criterion expressed as the total recoverable fraction in the water column to a criterion expressed as the dissolved fraction in the water column.

Chemical

mA

bA

mC

bC

Cadmium

N/A

N/A

0.7409

-4.719

Chromium III

0.8190

3.7256

0.8190

0.6848

     

Lead

1.273

-1.460

1.273

-4.705

Nickel

0.8460

2.255

0.8460

0.0584

Silver

1.72

-6.59

--

--

Zinc

0.8473

0.884

0.8473

0.884

 

 

 . The conversion factors (CF) below must be used in the equations above for the hardness-dependent metals in order to convert total recoverable metals criteria to dissolved metals criteria. For metals that are not hardness-dependent (i.e. arsenic, chromium VI, selenium, and silver (chronic)), or are saltwater criteria, the criterion value associated with the metal in Table 30 already reflects a dissolved criterion based on its conversion factor below.

 

 

 

 

 

 

 

 

Conversion Factor (CF) Table for Dissolved Metals

Chemical

Freshwater

Saltwater

 

Acute

Chronic

Acute

Chronic

Arsenic

1.000

1.000

1.000

1.000

Cadmium

1.136672-[(ln hardness)(0.041838)] N/A

1.101672-[(ln hardness)(0.041838)]

0.994

0.994

Chromium III

0.316

0.860

--

--

Chromium VI

0.982

0.962

0.993

0.993

Copper

0.960 N/A

0.960 N/A

0.83

0.83

Lead

1.46203-[(ln hardness)(0.145712)]

1.46203-[(ln hardness)(0.145712)]

0.951

0.951

Nickel

0.998

0.997

0.990

0.990

Selenium

0.996

0.922

0.998

0.998

Silver

0.85

0.85

0.85

--

Zinc

0.978

0.986

0.946

0.946

 

 

[Proposed strikethrough to original footnote in Table 33B: Propose to remove hardness factors for acute cadmium and acute and chronic copper values in the table, since criteria reverted back to Table 20 and to the factors applied to the equations that were effective at that time (some of these factors have since been updated). Also propose to remove CFs for cadmium acute and copper acute and chronic criteria because the criteria reverted back to total, rather than dissolved.]

Endnote M: Equations for Freshwater Ammonia Calculations

Acute Criterion

The 1-hour average concentration of un-ionized ammonia (mg/L NH3) may not exceed more often than once every three years on average, the numerical value given by:

 

CMCNH3 = 0.52/FT/FPH/2 where:

 

FT = temperature adjustment factor

FPH = pH adjustment factor

TCAP = temperature cap

 

FT = 10 0.03(20-TCAP);  TCAP ≤ T ≤ 30 C

FT = 10 0.03(20-T);  0 ≤ T ≤ TCAP

FPH = 1    8≤ pH ≤ 9

FPH = 1 + 10  7.4-pH  6.5 ≤ 8

1.25

 

TCAP = 20 ˚C; Salmonids and other sensitive coldwater species present

TCAP = 25 ˚C; Salmonids and other sensitive coldwater species absent

Chronic Criterion

The 4-day average concentration of un-ionized ammonia (mg/L NH3) may not exceed more often than once every three years on average, the average numerical value given by:

 

CCCNH3 = 0.80/FT/FPH/RATIO

 

where FT and FPH are as above for acute criterion and:

 

RATIO = 16          7.7 ≤ pH ≤ 9

RATIO = 24 X (107.7 – pH/1 + 10 7.4-pH)    6.5≤ pH ≤ 7.7

 

TCAP = 15 ˚C; Salmonids and other sensitive coldwater species present

TCAP = 20 ˚C; Salmonids and other sensitive coldwater species absent

 

TABLE 30: Aquatic Life Water Quality Criteria for Toxic Pollutants

Effective April 18, 2014

 

Aquatic Life Criteria Summary

 

The criteria for each compound listed in Table 30 must not be exceeded in waters of the state in order to protect aquatic life. The aquatic life criteria apply to waterbodies where fish and aquatic life is a designated beneficial use. All values are expressed as micrograms per liter (µg/L). Compounds are listed in alphabetical order with the corresponding information: the Chemical Abstract Service (CAS) number, whether there is a human health criterion for the pollutant (i.e. “y”= yes, “n” = no), and the associated aquatic life freshwater and saltwater acute and chronic criteria. Italicized pollutants are not identified as priority pollutants by EPA. Dashes in the table column indicate that there is no aquatic life criterion for that pollutant.

 

Unless otherwise noted in the table below, the acute criterion is the Criterion Maximum Concentration (CMC) applied as a one hour average concentration, and the chronic criterion is the Criterion Continuous Concentration (CCC) applied as a 96 hour (4 day) average concentration. The CMC and CCC criteria may not be exceeded more than once every three years. Footnote A, associated with eleven pesticide pollutants in Table 30, describes the exception to the frequency and duration of the toxics criteria stated in this paragraph.

 

Table 30

 

Aquatic Life Water Quality Criteria for Toxic Pollutants

 

 

Pollutant

CAS No.

Human Health Criterion

Freshwater

(µg/L)

Saltwater

(µg/L)

    

Acute Criterion (CMC)

Chronic Criterion (CCC)

Acute Criterion (CMC)

Chronic Criterion (CCC)

1

Aldrin

309002

y

3 A

--

1.3 A

--

A See expanded endnote A at bottom of Table 30 for alternate frequency and duration of this criterion.

2

Alkalinity

n

--

20,000 B

--

--

B Criterion shown is the minimum (i.e. CCC in water may not be below this value in order to protect aquatic life).

3

Ammonia

7664417

n

Criteria are pH, temperature, and salmonid or sensitive coldwater species dependent-- See document USEPA January 1985 (Fresh Water).M

 

Ammonia criteria for saltwater may depend on pH and temperature. Values for saltwater criteria (total ammonia) can be calculated from the tables specified in Ambient Water Quality Criteria for Ammonia (Saltwater)--1989 (EPA 440/5-88-004;

http://water.epa.gov/scitech/swguidance/standards/criteria/current/index.cfm)

M See expanded endnote M equations at bottom of Table 30 to calculate freshwater ammonia criteria

4

Arsenic

7440382

y

340 C, D

150 C, D

69 C, D

36 C, D

C Criterion is expressed in terms of “dissolved” concentrations in the water column.

D Criterion is applied as total inorganic arsenic (i.e. arsenic (III) + arsenic (V)).

5

BHC Gamma (Lindane)

58899

y

0.95

0.08 A

0.16 A

--

A See expanded endnote A at bottom of Table 30 for alternate frequency and duration of this criterion.

6

Cadmium

7440439

n

See E

See C, F

40 C

8.8 C

C Criterion is expressed in terms of “dissolved” concentrations in the water column.

E The freshwater criterion for this metal is expressed as a function of hardness (mg/L) in the water column. To calculate the criterion, use formula under expanded endnote E at bottom of Table 30.

F The freshwater criterion for this metal is expressed as a function of hardness (mg/L) in the water column. To calculate the criterion, use formula under expanded endnote F at bottom of Table 30.

7

Chlordane

57749

y

2.4 A

0.0043 A

0.09 A

0.004 A

A See expanded endnote A at bottom of Table 30 for alternate frequency and duration of this criterion.

8

Chloride

16887006

n

860,000

230,000

--

--

9

Chlorine

7782505

n

19

11

13

7.5

10

Chlorpyrifos

2921882

n

0.083

0.041

0.011

0.0056

11

Chromium III

16065831

n

See C, F

See C, F

--

--

C Criterion is expressed in terms of “dissolved” concentrations in the water column.

F The freshwater criterion for this metal is expressed as a function of hardness (mg/L) in the water column. To calculate the criterion, use formula under expanded endnote F at bottom of Table 30.

12

Chromium VI

18540299

n

16 C

11 C

1100C

50C

C Criterion is expressed in terms of “dissolved” concentrations in the water column.

13

Copper

7440508

y

See E

See E

4.8 C

3.1 C

C Criterion is expressed in terms of “dissolved” concentrations in the water column.

E The freshwater criterion for this metal is expressed as a function of hardness (mg/L) in the water column. To calculate the criterion, use formula under expanded endnote E at bottom of Table 30.

14

Cyanide

57125

y

22 J

5.2 J

1 J

1 J

J This criterion is expressed as µg free cyanide (CN)/L.

15

DDT 4,4'

50293

y

1.1 A , G

0.001 A, G

0.13 A, G

0.001 A, G

A See expanded endnote A at bottom of Table 30 for alternate frequency and duration of this criterion.

G This criterion applies to DDT and its metabolites (i.e. the total concentration of DDT and its metabolites should not exceed this value).

16

Demeton

8065483

n

--

0.1

--

0.1

17

Dieldrin

60571

y

0.24

0.056

0.71A

0.0019A

A See expanded endnote A at bottom of Table 30 for alternate frequency and duration of this criterion.

18

Endosulfan

115297

n

0.22 A , H

0.056 A , H

0.034 A , H

0.0087 A, H

A See expanded endnote A at bottom of Table 30 for alternate frequency and duration of this criterion.

H This value is based on the criterion published in Ambient Water Quality Criteria for Endosulfan (EPA 440/5-80-046) and should be applied as the sum of alpha- and beta-endosulfan.

19

Endosulfan Alpha

959988

y

0.22 A

0.056 A

0.034 A

0.0087 A

A See expanded endnote A at bottom of Table 30 for alternate frequency and duration of this criterion.

20

Endosulfan Beta

33213659

y

0.22 A

0.056 A

0.034 A

0.0087 A

A See expanded endnote A at bottom of Table 30 for alternate frequency and duration of this criterion.

21

Endrin

72208

y

0.086

0.036

0.037 A

0.0023 A

A See expanded endnote A at bottom of Table 30 for alternate frequency and duration of this criterion.

22

Guthion

86500

n

--

0.01

--

0.01

23

Heptachlor

76448

y

0.52 A

0.0038 A

0.053 A

0.0036 A

A See expanded endnote A at bottom of Table 30 for alternate frequency and duration of this criterion.

24

Heptachlor Epoxide

1024573

y

0.52 A

0.0038 A

0.053 A

0.0036 A

A See expanded endnote A at bottom of Table 30 for alternate frequency and duration of this criterion.

25

Iron (total)

7439896

n

--

1000

--

--

26

Lead

7439921

n

See C , F

See C , F

210 C

8.1 C

C Criterion is expressed in terms of “dissolved” concentrations in the water column.

F The freshwater criterion for this metal is expressed as a function of hardness (mg/L) in the water column. To calculate the criterion, use formula under expanded endnote F at bottom of Table 30.

27

Malathion

121755

n

--

0.1

--

0.1

28

Mercury (total)

7439976

n

2.4

0.012

2.1

0.025

29

Methoxychlor

72435

y

--

0.03

--

0.03

30

Mirex

2385855

n

--

0.001

--

0.001

31

Nickel

7440020

y

See C , F

See C , F

74 C

8.2 C

C Criterion is expressed in terms of “dissolved” concentrations in the water column.

F The freshwater criterion for this metal is expressed as a function of hardness (mg/L) in the water column. To calculate the criterion, use formula under expanded endnote F at bottom of Table 30.

32

Parathion

56382

n

0.065

0.013

--

--

33

Pentachlorophenol

87865

y

See H

See H

13

7.9

H Freshwater aquatic life values for pentachlorophenol are expressed as a function of pH, and are calculated as follows: CMC=(exp(1.005(pH)-4.869); CCC=exp(1.005(pH)-5.134).

34

Phosphorus Elemental

7723140

n

--

--

--

0.1

35

Polychlorinated Biphenyls (PCBs)

NA 

y

2 K

0.014 K

10 K

0.03 K

K This criterion applies to total PCBs (e.g. determined as Aroclors or congeners)

36

Selenium

7782492

y

See C , L

4.6 C

290 C

71 C

C Criterion is expressed in terms of “dissolved” concentrations in the water column.

L The CMC=(1/[(f1/CMC1)+(f2/CMC2)]µg/L) * CF where f1 and f2 are the fractions of total selenium that are treated as selenite and selenate, respectively,and CMC1 and CMC2 are 185.9 μg/L and 12.82 μg/L, respectively. See expanded endnote F for the Conversion Factor (CF) for selenium.

37

Silver

7440224

n

See C , F

0.10 C

1.9 C

--

C Criterion is expressed in terms of “dissolved” concentrations in the water column.

F The freshwater acute criterion for this metal is expressed as a function of hardness (mg/L) in the water column. To calculate the criterion, use formula under expanded endnote F at bottom of Table 30.

38

Sulfide Hydrogen Sulfide

7783064

n

--

2

--

2

39

Toxaphene

8001352

y

0.73

0.0002

0.21

0.0002

40

Tributyltin (TBT)

688733

n

0.46

0.063

0.37

0.01

41

Zinc

7440666

y

See C , F

See C , F

90 C

81 C

C Criterion is expressed in terms of “dissolved” concentrations in the water column.

F The freshwater criterion for this metal is expressed as a function of hardness (mg/L) in the water column. To calculate the criterion, use formula under expanded endnote F at bottom of Table 30.

 

 

 

Expanded Endnotes A, E, F, M

Endnote A: Alternate Frequency and Duration for Certain Pesticides

This criterion is based on EPA recommendations issued in 1980 that were derived using guidelines that differed from EPA's 1985 Guidelines which update minimum data requirements and derivation procedures. The CMC may not be exceeded at any time and the CCC may not be exceeded based on a 24-hour average. The CMC may be applied using a one hour averaging period not to be exceeded more than once every three years, if the CMC values given in Table 30 are divided by 2 to obtain a value that is more comparable to a CMC derived using the 1985 Guidelines.

Endnote E: Equations for Hardness-Dependent Freshwater Metals Criteria for Cadmium Acute and Copper Acute and Chronic Criteria

The freshwater criterion for this metal is expressed as total recoverable with two significant figures, and is a function of hardness (mg/L) in the water column. Criteria values for hardness are calculated using the following formulas (CMC refers to the acute criterion; CCC refers to the chronic criterion):

CMC = (exp(mA*[ln(hardness)] + bA))

CCC = (exp(mC*[ln(hardness)] + bC))

Chemical

mA

bA

mC

bC

Cadmium

1.128

-3.828

N/A

N/A

Copper

0.9422

-1.464

0.8545

-1.465

 

 

 

 

 

 

 

 

 

 

 

 

 

Endnote F: Equations for Hardness-Dependent Freshwater Metals Criteria and Conversion Factor Table

The freshwater criterion for this metal is expressed as dissolved with two significant figures, and is a function of hardness (mg/L) in the water column. Criteria values for hardness are calculated using the following formulas (CMC refers to the acute criterion; CCC refers to the chronic criterion):

         CMC = (exp(mA*[ln(hardness)] + bA))*CF

         CCC = (exp(mC*[ln(hardness)] + bC))*CF

CF is the conversion factor used for converting a metal criterion expressed as the total recoverable fraction in the water column to a criterion expressed as the dissolved fraction in the water column.

Chemical

mA

bA

mC

bC

Cadmium

N/A

N/A

0.7409

-4.719

Chromium III

0.8190

3.7256

0.8190

0.6848

Lead

1.273

-1.460

1.273

-4.705

Nickel

0.8460

2.255

0.8460

0.0584

Silver

1.72

-6.59

--

--

Zinc

0.8473

0.884

0.8473

0.884

 

 

 

 

 

 

 

 

 

 

 

The conversion factors (CF) below must be used in the equations above for the hardness-dependent metals in order to convert total recoverable metals criteria to dissolved metals criteria. For metals that are not hardness-dependent (i.e. arsenic, chromium VI, selenium, and silver (chronic)), or are saltwater criteria, the criterion value associated with the metal in Table 30 already reflects a dissolved criterion based on its conversion factor below.

 

Conversion Factor (CF) Table for Dissolved Metals

Chemical

Freshwater

Saltwater

 

Acute

Chronic

Acute

Chronic

Arsenic

1.000

1.000

1.000

1.000

Cadmium

N/A

1.101672-[(ln hardness)(0.041838)]

0.994

0.994

Chromium III

0.316

0.860

--

--

Chromium VI

0.982

0.962

0.993

0.993

Copper

N/A

N/A

0.83

0.83

Lead

1.46203-[(ln hardness)(0.145712)]

1.46203-[(ln hardness)(0.145712)]

0.951

0.951

Nickel

0.998

0.997

0.990

0.990

Selenium

0.996

0.922

0.998

0.998

Silver

0.85

0.85

0.85

--

Zinc

0.978

0.986

0.946

0.946

 

 

 

 

 

 

 

 

Endnote M: Equations for Freshwater Ammonia Calculations

Acute Criterion

The 1-hour average concentration of un-ionized ammonia (mg/L NH3) may not exceed more often than once every three years on average, the numerical value given by:

 

CMCNH3 = 0.52/FT/FPH/2 where:

 

FT = temperature adjustment factor

FPH = pH adjustment factor

TCAP = temperature cap

 

FT = 10 0.03(20-TCAP);  TCAP ≤ T ≤ 30 C

FT = 10 0.03(20-T);  0 ≤ T ≤ TCAP

FPH = 1    8≤ pH ≤ 9

FPH = 1 + 10  7.4-pH  6.5 ≤ 8

1.25

 

TCAP = 20 ˚C; Salmonids and other sensitive coldwater species present

TCAP = 25 ˚C; Salmonids and other sensitive coldwater species absent

Chronic Criterion

The 4-day average concentration of un-ionized ammonia (mg/L NH3) may not exceed more often than once every three years on average, the average numerical value given by:

 

CCCNH3 = 0.80/FT/FPH/RATIO

 

where FT and FPH are as above for acute criterion and:

 

RATIO = 16          7.7 ≤ pH ≤ 9

RATIO = 24 X (107.7 – pH/1 + 10 7.4-pH)    6.5≤ pH ≤ 7.7

 

TCAP = 15 ˚C; Salmonids and other sensitive coldwater species present

TCAP = 20 ˚C; Salmonids and other sensitive coldwater species absent

 

 

Note to Readers:

DEQ proposes to make revisions to Table 33C (in redlined font) to be consistent with Agency table formatting guidelines. Other revisions would rename Table 33C as Table 31 and remove arsenic guidance values which are unnecessary because Oregon has aquatic life criteria for arsenic. In addition, DEQ is correcting a reference to Oregon’s Toxic Substances Narrative. The correct reference is OAR 340-041-0033(2).

 

TABLE Table 313C: Aquatic Life Water Quality Guidance Values for Toxic Pollutants

Effective April 18, 2014

WATER QUALITY GUIDANCE VALUES SUMMARY Water Quality Guidance Values Summary A

 

The concentration for each compound listed in Table 313c is a guidance value that can be used in application of Oregon’s Narrative Toxics Substances Narrative Criteria (340-041-0033(21)) to waters of the state in order to protect aquatic life. All values are expressed as micrograms per liter (µg/L) except where noted. Compounds are listed in alphabetical order with the corresponding EPA number (from National Recommended Water Quality Criteria: 2002, EPA-822-R-02-047), corresponding Chemical Abstract Service (CAS) number, aquatic life freshwater acute and chronic guidance values, and aquatic life saltwater acute and chronic guidance values.

 

 

Table 31

 

Aquatic Life Water Quality Guidance Values for Toxic Pollutants

EPA No.

Pollutant

CAS Number

Freshwater

Saltwater

   

Acute

Chronic

Acute

Chronic

56

Acenaphthene

83329

1,700

520

970

710

17

Acrolein

107028

68

21

55

 

18

Acrylonitrile

107131

7,550

2,600

 

 

1

Antimony

7440360

9,000

1,600

 

 

2

Arsenic

7440382

850

48

2,310

13

19

Benzene

71432

5,300

 

5,100

700

59

Benzidine

92875

2,500

 

 

 

3

Beryllium

7440417

130

5.3

 

 

19 B

BHC (Hexachlorocyclohexane-Technical)

319868

100

 

0.34

 

21

Carbon Tetrachloride

56235

35,200

 

50,000

 

 

Chlorinated Benzenes

 

250

50

160

129

 

Chlorinated naphthalenes

 

1,600

 

7.5

 

 

Chloroalkyl Ethers

 

238,000

 

 

 

26

Chloroform

67663

28,900

1,240

 

 

45

Chlorophenol 2-

95578

4,380

2,000

 

 

 

Chlorophenol 4-

106489

 

 

29,700

 

52

Methyl-4-chlorophenol 3-

59507

30

 

 

 

5a

Chromium (III)

16065831

 

 

10,300

 

109

DDE 4,4'-

72559

1,050

 

14

 

110

DDD 4,4'-

72548

0.06

 

3.6

 

 

Diazinon

333415

0.08

0.05

 

 

 

Dichlorobenzenes

 

1,120

763

1,970

 

29

Dichloroethane 1,2-

107062

118,000

20,000

113,000

 

 

Dichloroethylenes

 

11,600

 

224.000

 

46

Dichlorophenol 2,4-

120832

2,020

365

 

 

31

Dichloropropane 1,2-

78875

23,000

5,700

10,300

3,040

32

Dichloropropene 1,3-

542756

6,060

244

790

 

47

Dimethylphenol 2,4-

105679

2,120

 

 

 

 

Dinitrotoluene

 

330

230

590

370

16

Dioxin (2,3,7,8-TCDD)

1746016

0.01

38pg/L

 

 

85

Diphenylhydrazine 1,2-

122667

270

 

 

 

33

Ethylbenzene

100414

32,000

 

430

 

86

Fluoranthene

206440

3,980

 

40

16

 

Haloethers

 

360

122

 

 

 

Halomethanes

 

11,000

 

12,000

6,400

89

Hexachlorobutadiene

87683

90

9.3

32

 

90

Hexachlorocyclopentadiene

77474

7

5.2

7

 

91

Hexachloroethane

67721

980

540

940

 

93

Isophorone

78591

117,000

 

12,900

 

94

Naphthalene

91203

2,300

620

2,350

 

95

Nitrobenzene

98953

27,000

 

6,680

 

 

Nitrophenols

 

230

150

4,850

 

26 B

Nitrosamines

35576911

5,850

 

3,300,000

 

 

Pentachlorinated ethanes

 

7,240

1,100

390

281

54

Phenol

108952

10,200

2,560

5,800

 

 

Phthalate esters

 

940

3

2,944

3.4

 

Polynuclear Aromatic Hydrocarbons

 

 

 

300

 

 

Tetrachlorinated Ethanes

 

9,320

 

 

 

37

Tetrachloroethane 1,1,2,2-

79345

 

2,400

9,020

 

 

Tetrachloroethanes

 

9,320

 

 

 

38

Tetrachloroethylene

127184

5,280

840

10,200

450

 

Tetrachlorophenol 2,3,5,6

 

 

 

 

440

12

Thallium

7440280

1,400

40

2,130

 

39

Toluene

108883

17,500

 

6,300

5,000

 

Trichlorinated ethanes

 

18,000

 

 

 

41

Trichloroethane 1,1,1-

71556

 

 

31,200

 

42

Trichloroethane 1,1,2-

79005

 

9,400

 

 

43

Trichloroethylene

79016

45,000

21,900

2,000

 

55

Trichlorophenol 2,4,6-

88062

 

970

 

 

 

 

The following chemicals/compounds/classes are of concern due to the potential for toxic effects to aquatic organisms; however, no guidance values are designated. If these compounds are identified in the waste stream, then a review of the scientific literature may be appropriate for deriving guidance values.

 

Polybrominated diphenyl ethers (PBDE)

Polybrominated biphenyls (PBB)

Pharmaceuticals

Personal care products

Alkyl Phenols

Other chemicals with Toxic effects

 

Footnotes:

A  Values in Table 313c are applicable to all basins.

B  This number was assigned to the list of non-priority pollutants in National Recommended Water Quality Criteria: 2002 (EPA-822-R-02-047).

 

Note to Readers:

Proposed changes associated with Table 40 (in redlined font): (1) Corrected several typos for arsenic criteria and revised the estimated cancer risk from 2 significant digits to 1 significant digit per EPA guidance; (2) Corrected bis 2 Chloroethyl Ether to reflect two significant digits to be consistent with the other human health criteria; (3) Corrected selenium typo; (4) Corrected nickel typo; (5) Corrected trichloroethane 1,1,2 typo; (6) Corrected zinc typo; and (7) Bolded and increased the font size of the footnote letters and reformatted table to new Agency guidelines.

 

TABLE 40: Human Health Water Quality Criteria for Toxic Pollutants

Effective April 18, 2014

 

Human Health Criteria Summary

The concentration for each pollutant listed in Table 40 was derived to protect Oregonians from potential adverse health impacts associated with long-term exposure to toxic substances associated with consumption of fish, shellfish, and water. The “organism only” criteria are established to protect fish and shellfish consumption and apply to waters of the state designated for fishing. The “water + organism” criteria are established to protect the consumption of drinking water, fish, and shellfish, and apply where both fishing and domestic water supply (public and private) are designated uses. All criteria are expressed as micrograms per liter (µg/L), unless otherwise noted. Pollutants are listed in alphabetical order. Additional information includes the Chemical Abstract Service (CAS) number, whether the criterion is based on carcinogenic effects (can cause cancer in humans), and whether there is an aquatic life criterion for the pollutant (i.e. “y”= yes, “n” = no). All the human health criteria were calculated using a fish consumption rate of 175 grams per day unless otherwise noted. A fish consumption rate of 175 grams per day is approximately equal to 23 8-ounce fish meals per month. For pollutants categorized as carcinogens, values represent a cancer risk of one additional case of cancer in one million people (i.e. 10-6), unless otherwise noted. All metals criteria are for total metal concentration, unless otherwise noted. Italicized pollutants represent non-priority pollutants. The human health criteria revisions established by OAR 340-041-0033 and shown in Table 40 do not become applicable for purposes of ORS chapter 468B or the federal Clean Water Act until approved by EPA pursuant to 40 CFR 131.21 (4/27/2000).

 

 

 

 

 

Table 40

 

Human Health Water Quality Criteria for Toxic Pollutants

 

No.

Pollutant

CAS No.

Carcinogen

Aquatic Life Criterion

Human Health Criteria for the Consumption of:

     

Water + Organism (µg/L)

Organism Only (µg/L)

1

Acenaphthene

83329

n

n

95

99

2

Acrolein

107028

n

n

0.88

0.93

3

Acrylonitrile

107131

y

n

0.018

0.025

4

Aldrin

309002

y

y

0.0000050

0.0000050

5

Anthracene

120127

n

n

2900

4000

6

Antimony

7440360

n

n

5.1

64

7

Arsenic (inorganic) A

7440382

y

n y

2.1

2.1(freshwater)

1.0 (saltwater)

A The arsenic criteria are expressed as total inorganic arsenic. The “organism only” freshwater criterion is based on a risk level of approximately of 1 x 10-5, and the “water + organism” criterion is based on a risk level of 1 x 10-4.

8

Asbestos B

1332214

y

n

7,000,000 fibers/L

--

BThe human health risks from asbestos are primarily from drinking water, therefore no “organism only” criterion was developed. The “water + organism” criterion is based on the Maximum Contaminant Level (MCL) established under the Safe Drinking Water Act.

9

Barium C

7440393

n

n

1000

--

C The human health criterion for barium is the same as originally published in the 1976 EPA Red Book which predates the 1980 methodology and did not utilize the fish ingestion BCF approach. This same criterion value was also published in the 1986 EPA Gold Book. Human health risks are primarily from drinking water, therefore no “organism only” criterion was developed. The “water + organism” criterion is based on the Maximum Contaminant Level (MCL) established under the Safe Drinking Water Act.

10

Benzene

71432

y

n

0.44

1.4

11

Benzidine

92875

y

n

0.000018

0.000020

12

Benz(a)anthracene

56553

y

n

0.0013

0.0018

13

Benzo(a)pyrene

50328

y

n

0.0013

0.0018

14

Benzo(b)fluoranthene 3,4

205992

y

n

0.0013

0.0018

15

Benzo(k)fluoranthene

207089

y

n

0.0013

0.0018

16

BHC Alpha

319846

y

n

0.00045

0.00049

17

BHC Beta

319857

y

n

0.0016

0.0017

18

BHC Gamma (Lindane)

58899

n

y

0.17

0.18

19

Bromoform

75252

y

n

3.3

14

20

Butylbenzyl Phthalate

85687

n

n

190

190

21

Carbon Tetrachloride

56235

y

n

0.10

0.16

22

Chlordane

57749

y

y

0.000081

0.000081

23

Chlorobenzene

108907

n

n

74

160

24

Chlorodibromomethane

124481

y

n

0.31

1.3

25

Chloroethyl Ether bis 2

111444

y

n

0.020

0.053

[should reflect 2 significant digits]

26

Chloroform

67663

n

n

260

1100

27

Chloroisopropyl Ether bis 2

108601

n

n

1200

6500

28

Chloromethyl ether, bis

542881

y

n

0.000024

0.000029

29

Chloronaphthalene 2

91587

n

n

150

160

30

Chlorophenol 2

95578

n

n

14

15

31

Chlorophenoxy Herbicide (2,4,5,-TP) D

93721

n

n

10

--

D The Chlorophenoxy Herbicide (2,4,5,-TP) criterion is the same as originally published in the 1976 EPA Red Book which predates the 1980 methodology and did not utilize the fish ingestion BCF approach. This same criterion value was also published in the 1986 EPA Gold Book. Human health risks are primarily from drinking water, therefore no “organism only” criterion was developed. The “water + organism” criterion is based on the Maximum Contaminant Level (MCL) established under the Safe Drinking Water Act.

32

Chlorophenoxy Herbicide (2,4-D) E

94757

n

n

100

--

E The Chlorophenoxy Herbicide (2,4-D) criterion is the same as originally published in the 1976 EPA Red Book which predates the 1980 methodology and did not utilize the fish ingestion BCF approach. This same criterion value was also published in the 1986 EPA Gold Book. Human health risks are primarily from drinking water, therefore no “organism only” criterion was developed. The “water + organism” criterion is based on the Maximum Contaminant Level (MCL) established under the Safe Drinking Water Act.

33

Chrysene

218019

y

n

0.0013

0.0018

34

Copper F

7440508

n

y

1300

--

F Human health risks from copper are primarily from drinking water, therefore no “organism only” criterion was developed. The “water + organism” criterion is based on the Maximum Contaminant Level (MCL) established under the Safe Drinking Water Act.

35

Cyanide G

57125

n

y

130

130

G The cyanide criterion is expressed as total cyanide (CN)/L.

36

DDD 4,4'

72548

y

n

0.000031

0.000031

37

DDE 4,4'

72559

y

n

0.000022

0.000022

38

DDT 4,4'

50293

y

y

0.000022

0.000022

39

Dibenz(a,h)anthracene

53703

y

n

0.0013

0.0018

40

Dichlorobenzene(m) 1,3

541731

n

n

80

96

41

Dichlorobenzene(o) 1,2

95501

n

n

110

130

42

Dichlorobenzene(p) 1,4

106467

n

n

16

19

43

Dichlorobenzidine 3,3'

91941

y

n

0.0027

0.0028

44

Dichlorobromomethane

75274

y

n

0.42

1.7

45

Dichloroethane 1,2

107062

y

n

0.35

3.7

46

Dichloroethylene 1,1

75354

n

n

230

710

47

Dichloroethylene trans 1,2

156605

n

n

120

1000

48

Dichlorophenol 2,4

120832

n

n

23

29

49

Dichloropropane 1,2

78875

y

n

0.38

1.5

50

Dichloropropene 1,3

542756

y

n

0.30

2.1

51

Dieldrin

60571

y

y

0.0000053

0.0000054

52

Diethyl Phthalate

84662

n

n

3800

4400

53

Dimethyl Phthalate

131113

n

n

84000

110000

54

Dimethylphenol 2,4

105679

n

n

76

85

55

Di-n-butyl Phthalate

84742

n

n

400

450

56

Dinitrophenol 2,4

51285

n

n

62

530

57

Dinitrophenols

25550587

n

n

62

530

58

Dinitrotoluene 2,4

121142

y

n

0.084

0.34

59

Dioxin (2,3,7,8-TCDD)

1746016

y

n

0.00000000051

0.00000000051

60

Diphenylhydrazine 1,2

122667

y

n

0.014

0.020

61

Endosulfan Alpha

959988

n

y

8.5

8.9

62

Endosulfan Beta

33213659

n

y

8.5

8.9

63

Endosulfan Sulfate

1031078

n

n

8.5

8.9

64

Endrin

72208

n

y

0.024

0.024

65

Endrin Aldehyde

7421934

n

n

0.030

0.030

66

Ethylbenzene

100414

n

n

160

210

67

Ethylhexyl Phthalate bis 2

117817

y

n

0.20

0.22

68

Fluoranthene

206440

n

n

14

14

69

Fluorene

86737

n

n

390

530

70

Heptachlor

76448

y

y

0.0000079

0.0000079

71

Heptachlor Epoxide

1024573

y

y

0.0000039

0.0000039

72

Hexachlorobenzene

118741

y

n

0.000029

0.000029

73

Hexachlorobutadiene

87683

y

n

0.36

1.8

74

Hexachlorocyclo-hexane-Technical

608731

y

n

0.0014

0.0015

75

Hexachlorocyclopentadiene

77474

n

n

30

110

76

Hexachloroethane

67721

y

n

0.29

0.33

77

Indeno(1,2,3-cd)pyrene

193395

y

n

0.0013

0.0018

78

Isophorone

78591

y

n

27

96

79

Manganese H

7439965

n

--

100

H The “fish consumption only” criterion for manganese applies only to salt water and is for total manganese. This EPA recommended criterion predates the 1980 human health methodology and does not utilize the fish ingestion BCF calculation method or a fish consumption rate.

80

Methoxychlor I

72435

n

y

100

--

I The human health criterion for methoxychlor is the same as originally published in the 1976 EPA Red Book which predates the 1980 methodology and did not utilize the fish ingestion BCF approach. This same criterion value was also published in the1986 EPA Gold Book. Human health risks are primarily from drinking water, therefore no “organism only” criterion was developed. The “water + organism” criterion is based on the Maximum Contaminant Level (MCL) established under the Safe Drinking Water Act.

81

Methyl Bromide

74839

n

n

37

150

82

Methyl-4,6-dinitrophenol 2

534521

n

n

9.2

28

83

Methylene Chloride

75092

y

n

4.3

59

84

Methylmercury (mg/kg) J

22967926

n

n

--

0.040 mg/kg

JThis value is expressed as the fish tissue concentration of methylmercury. Contaminated fish and shellfish is the primary human route of exposure to methylmercury

85

Nickel

7440020

n

n y

140

170

86

Nitrates K

14797558

n

n

10000

--

KThe human health criterion for nitrates is the same as originally published in the 1976 EPA Red Book which predates the 1980 methodology and did not utilize the fish ingestion BCF approach. This same criterion value was also published in the 1986 EPA Gold Book. Human health risks are primarily from drinking water, therefore no “organism only” criterion was developed. The “water + organism” criterion is based on the Maximum Contaminant Level (MCL) established under the Safe Drinking Water Act.

87

Nitrobenzene

98953

n

n

14

69

88

Nitrosamines

35576911

y

n

0.00079

0.046

89

Nitrosodibutylamine, N

924163

y

n

0.0050

0.022

90

Nitrosodiethylamine, N

55185

y

n

0.00079

0.046

91

Nitrosodimethylamine, N

62759

y

n

0.00068

0.30

92

Nitrosodi-n-propylamine, N

621647

y

n

0.0046

0.051

93

Nitrosodiphenylamine, N

86306

y

n

0.55

0.60

94

Nitrosopyrrolidine, N

930552

y

n

0.016

3.4

95

Pentachlorobenzene

608935

n

n

0.15

0.15

96

Pentachlorophenol

87865

y

y

0.15

0.30

97

Phenol

108952

n

n

9400

86000

98

Polychlorinated Biphenyls (PCBs) L

NA 

y

y

0.0000064

0.0000064

L This criterion applies to total PCBs (e.g. determined as Aroclors or congeners).

99

Pyrene

129000

n

n

290

400

100

Selenium

7782492

n

n y

120

420

101

Tetrachlorobenzene, 1,2,4,5-

95943

n

n

0.11

0.11

102

Tetrachloroethane 1,1,2,2

79345

y

n

0.12

0.40

103

Tetrachloroethylene

127184

y

n

0.24

0.33

104

Thallium

7440280

n

n

0.043

0.047

105

Toluene

108883

n

n

720

1500

106

Toxaphene

8001352

y

y

0.000028

0.000028

107

Trichlorobenzene 1,2,4

120821

n

n

6.4

7.0

108

Trichloroethane 1,1,2

79005

y

y n

0.44

1.6

109

Trichloroethylene

79016

y

n

1.4

3.0

110

Trichlorophenol 2,4,6

88062

y

n

0.23

0.24

111

Trichlorophenol, 2, 4, 5-

95954

n

n

330

360

112

Vinyl Chloride

75014

y

n

0.023

0.24

113

Zinc

7440666

n

n y

2100

2600

 

 

 

 

 

 

 

 

 

 

 

 

 

 

 

 

 

 

 

 

Note to Readers:

DEQ proposes to delete Tables 20, 33A, and 33B because new Table 30 will now contain all the effective aquatic life criteria.

 

TABLE 20

 

 

 

AQUATIC LIFE WATER QUALITY CRITERIA SUMMARY 1

 

The concentration for each compound listed in Table 20 is a criterion not to be exceeded in waters of the state in order to protect aquatic life. All values are expressed as micrograms per liter (µg/L) except where noted. Compounds are listed in alphabetical order with the corresponding designations as to whether EPA has identified it as a priority pollutant and a carcinogen, aquatic life freshwater acute and chronic criteria, aquatic life marine acute and chronic criteria. The acute criteria refer to the average concentration for one (1) hour and the chronic criteria refer to the average concentration for 96 hours (4 days), and that these criteria should not be exceeded more than once every three (3) years.

 

Compound Name (or Class)

Priority Pollutant

Concentration in Micrograms Per Liter

for Protection of Aquatic Life

    
  

Fresh Acute Criteria

Fresh Chronic Criteria

Marine Acute Criteria

Marine Chronic Criteria

Acenapthene

Y

    

Acrolein

Y

    

Acrylonitrile

Y

    

Aldrin

Y

3

 

1.3

 

Alkalinity

N

 

20,000

  

Ammonia

N

CRITERIA ARE pH AND TEMPERATURE DEPENDENT—SEE DOCUMENT USEPA JANUARY 1985 (Fresh Water)

CRITERIA ARE pH AND TEMPERATURE DEPENDENT—SEE DOCUMENT USEPA APRIL 1989 (Marine Water)

Antimony

Y

    

Arsenic

Y

    

Arsenic (Pent)

Y

    

Arsenic (Tri)

Y

360

190

69

36

Asbestos

Y

    

Barium

N

    

Benzene

Y

    

Benzidine

Y

    

Beryllium

Y

    

BHC

Y

    

Cadmium

Y

3.9+

1.1+

43

9.3

Carbon Tetrachloride

Y

    

Chlordane

Y

2.4

0.0043

0.09

0.004

Chloride

N

860 mg/L

230 mg/L

  

Chlorinated Benzenes

Y

    

Chlorinated Naphthalenes

Y

    

Chlorine

N

19

11

13

7.5

Chloroalkyl Ethers

Y

    

Chloroethyl Ether (Bis-2)

Y

    

Chloroform

Y

    

Chloroisopropyl Ether (Bis-2)

Y

    

Chloromethyl Ether (Bis)

N

    

Chlorophenol 2

Y

    

Chlorophenol 4

N

    

Chlorophenoxy Herbicides (2,4,5,-Tp)

N

    

Chlorophenoxy Herbicides (2,4-D)

N

    

Chlorpyrifos

N

0.083

0.041

0.011

0.0056

Chloro-4 Methyl-3 Phenol

N

    

Chromium (Hex)

Y

16

11

1,100

50

Chromium (Tri)

N

1,700.+

210.+

  

Copper

Y

18.+

12.+

2.9

2.9

Cyanide

Y

22

5.2

1

1

DDT

Y

1.1

0.001

0.13

0.001

(TDE) DDT Metabolite

Y

    

(DDE) DDT Metabolite

Y

    

Demeton

Y

 

0.1

 

0.1

Dibutylphthalate

Y

    

Dichlorobenzenes

Y

    

Dichlorobenzidine

Y

    

Dichloroethane 1,2

Y

    

Dichloroethylenes

Y

    

Dichlorophenol 2,4

N

    

Dichloropropane

Y

    

Dichloropropene

Y

    

Dieldrin

Y

2.5

0.0019

0.71

0.0019

Diethylphthalate

Y

    

Dimethyl Phenol 2,4

Y

    

Dimethyl Phthalate

Y

    

Dinitrotoluene 2,4

N

    

Dinitrotoluene

Y

    

Dinitrotoluene

N

    

Dinitro-o-Cresol 2,4

Y

    

Dioxin (2,3,7,8-Tcdd)

Y

    

Diphenylhydrazine

Y

    

Diphenylhydrazine 1,2

Y

    

Di-2-Ethylhexyl Phthalate

Y

    

Endosulfan

Y

0.22

0.056

0.034

0.0087

Endrin

Y

0.18

0.0023

0.037

0.0023

Ethylbenzene

Y

    

Fluoranthene

Y

    

Guthion

N

 

0.01

 

0.01

Haloethers

Y

    

Halomethanes

Y

    

Heptachlor

Y

0.52

0.0038

0.053

0.0036

Hexachloroethane

N

    

Hexachlorobenzene

Y

    

Hexachlorobutadiene

Y

    

Hexachlorocyclohexane (Lindane)

Y

2

0.08

0.16

 

Hexachlorocyclohexane-Alpha

Y

    

Hexachlorocyclohexane-Beta

Y

    

Hexachlorocyclohexane-Gama

Y

    

Hexachlorocyclohexane-Technical

Y

    

Hexachlorocyclopentadiene

Y

    

Iron

N

 

1,000

  

Isophorone

Y

    

Lead

Y

82+

3.2+

140

5.6

Malathion

N

 

0.1

 

0.1

Manganese

N

    

Mercury

Y

2.4

0.012

2.1

0.025

Methoxychlor

N

 

0.03

 

0.03

Mirex

N

 

0.001

 

0.001

Monochlorobenzene

Y

    

Naphthalene

Y

    

Nickel

Y

1,400+

160+

75

8.3

Nitrates

N

    

Nitrobenzene

Y

    

Nitrophenols

Y

    

Nitrosamines

Y

    

Nitrosodibutylamine N

Y

    

Nitrosodiethylamine N

Y

    

Nitrosodimethylamine N

Y

    

Nitrosodiphenylamine N

Y

    

Nitrosopyrrolidine N

Y

    

Parathion

N

0.065

0.013

  

PCB's

Y

2

0.014

10

0.03

Pentachlorinated Ethanes

N

    

Pentachlorobenzene

N

    

Pentachlorophenol

Y

***20

***13

13

 

Phenol

Y

    

Phosphorus Elemental

N

   

0.1

Phthalate Esters

Y

    

Polynuclear Aromatic Hydrocarbons

Y

    

Selenium

Y

260

35

410

54

Silver

Y

4.1+

0.12

2.3

 

Sulfide Hydrogen Sulfide

N

 

2

 

2

Tetrachlorinated Ethanes

Y

    

Tetrachlorobenzene 1,2,4,5

Y

    

Tetrachloroethane 1,1,2,2

Y

    

Tetrachloroethanes

Y

    

Tetrachloroethylene

Y

    

Tetrachlorophenol 2,3,5,6

Y

    

Thallium

Y

    

Toluene

Y

    

Toxaphene

Y

0.73

0.0002

0.21

0.0002

Trichlorinated Ethanes

Y

    

Trichloroethane 1,1,1

Y

    

Trichloroethane 1,1,2

Y

    

Trichloroethylene

Y

    

Trichlorophenol 2,4,5

N

    

Trichlorophenol 2,4,6

Y

    

Vinyl Chloride

Y

    

Zinc

Y

120+

110+

95

86

 

 

 

MEANING OF SYMBOLS:

 

g  =  grams  

mg  =  milligrams  

+  =  Hardness Dependent Criteria (100 mg/L used).

 

 

The freshwater criterion for this metal is expressed as a function of hardness (mg/L) in the water column. Criteria values for hardness may be calculated from the following formulae (CMC refers to Acute Criteria; CCC refers to Chronic Criteria):

Chemical

mA

bA

mC

bC

Cadmium

1.128

-3.828

0.7852

-3.49

Chromium III

0.819

3.688

0.819

1.561

Copper

0.9422

-1.464

0.8545

-1.465

Lead

1.273

-1.46

1.273

-4.705

Nickel

0.846

3.3612

0.846

1.1645

Silver

1.72

-6.52

 

 

Zinc

0.8473

0.8604

0.8473

0.7614

 

 

CMC = (exp(mA*[ln(hardness)] + bA))*CF

CCC = (exp(mC*[ln(hardness)] + bC))*CF

 

 

 

 

 

 

ug  =  micrograms  

*  =  Insufficient data to develop criteria; value presented is the L.O.E.L – Lower Observed Effect Level.

ng  =  nanograms  

pg  =  picograms  

***  =  pH Dependent Criteria (7.8 pH used).

Y  =  Yes  

N  =  No

1 = Values in Table 20 are applicable to all basin

 

 

 

TABLE 33A

 

Note: The Environmental Quality Commission adopted the following criteria on May 20, 2004 to become effective February 15, 2005. However, EPA has not yet (as of June 2006) approved the criteria. Thus, Table 33A criteria may be used in NPDES permits, but not for the section 303(d) list of impaired waters.

 

 

AQUATIC LIFE WATER QUALITY CRITERIA SUMMARY A

 

The concentration for each compound listed in Table 33A is a criterion not to be exceeded in waters of the state in order to protect aquatic life. All values are expressed as micrograms per liter (µg/L) except where noted. Compounds are listed in alphabetical order with the corresponding EPA number (from National Recommended Water Quality Criteria: 2002, EPA-822-R-02-047), the Chemical Abstract Service (CAS) number, aquatic life freshwater acute and chronic criteria, aquatic life saltwater acute and chronic criteria. The acute criteria refer to the average concentration for one (1) hour and the chronic criteria refer to the average concentration for 96 hours (4 days), and that these criteria should not be exceeded more than once every three (3) years.

 

 

EPA No.

Compound

CAS Number

  

Freshwater

Saltwater

   

Acute (CMC)

Effective Date

Chronic (CCC)

Effective Date

Acute (CMC)

Effective Date

Chronic (CCC)

Effective Date

56

Acenaphthene

83329

        

57

Acenaphthylene

208968

        

17

Acrolein

107028

        

18

Acrylonitrile

107131

        

102

Aldrin

309002

3 O

X

  

1.3 O

X

  

1 N

Alkalinity

   

20,000 P

     

2 N

Aluminum (pH 6.5 - 9.0)

7429905

        

3 N

Ammonia

7664417

    

D

X

D

X

58

Anthracene

120127

        

1

Antimony

7440360

        

2

Arsenic

7440382

        

15

Asbestos

1332214

        

6 N

Barium

7440393

        

19

Benzene

71432

        

59

Benzidine

92875

        

60

Benzo(a)Anthracene

56553

        

61

Benzo(a)Pyrene

50328

        

62

Benzo(b)Fluoranthene

205992

        

63

Benzo(g,h,i)Perylene

191242

        

64

Benzo(k)Fluoranthene

207089

        

3

Beryllium

7440417

        

103

BHC alpha-

319846

        

104

BHC beta-

319857

        

106

BHC delta-

319868

        

105

BHC gamma- (Lindane)

58899

0.95

 

0.08

X

0.16 O

   

7 N

Boron

7440428

        

20

Bromoform

75252

        

69

Bromophenyl Phenyl Ether 4-

         

70

Butylbenzyl Phthalate

85687

        

4

Cadmium

7440439

        

21

Carbon Tetrachloride

56235

        

107

Chlordane

57749

2.4 O

X

0.0043 O

X

0.09 O

X

0.004 O

X

8 N

Chloride

16887006

860000

 

230000

     

9 N

Chlorine

7782505

19

X

11

X

13

X

7.5

X

22

Chlorobenzene

108907

        

23

Chlorodibromomethane

124481

        

24

Chloroethane

75003

        

65

ChloroethoxyMethane Bis2-

111911

        

66

ChloroethylEther Bis2-

111444

        

25

Chloroethylvinyl Ether 2-

110758

        

26

Chloroform

67663

        

67

ChloroisopropylEther Bis2-

108601

        

15 N

ChloromethylEther, Bis

542881

        

71

Chloronaphthalene 2-

91587

        

45

Chlorophenol 2-

95578

        

10 N

Chlorophenoxy Herbicide (2,4,5,-TP)

93721

        

11 N

Chlorophenoxy Herbicide (2,4-D)

94757

        

72

Chlorophenyl Phenyl Ether 4-

7005723

        

12 N

Chloropyrifos

2921882

0.083

X

0.041

X

0.011

X

0.0056

X

5a

Chromium (III)

         

5b

Chromium (VI)

18540299

        

73

Chrysene

218019

        

6

Copper

7440508

        

14

Cyanide

57125

22 S

X

5.2 S

X

1 S

X

1 S

X

108

DDT 4,4'-

50293

1.1 O,T

X

0.001 O,T

X

0.13 O,T

X

0.001 O,T

X

109

DDE 4,4'-

72559

        

110

DDD 4,4'-

72548

        

14 N

Demeton

8065483

  

0.1

X

  

0.1

X

74

Dibenzo(a,h)Anthracene

53703

        

75

Dichlorobenzene 1,2-

95501

        

76

Dichlorobenzene 1,3-

541731

        

77

Dichlorobenzene 1,4-

106467

        

78

Dichlorobenzidine 3,3'-

91941

        

27

Dichlorobromomethane

75274

        

28

Dichloroethane 1,1-

75343

        

29

Dichloroethane 1,2-

107062

        

30

Dichloroethylene 1,1-

75354

        

46

Dichlorophenol 2,4-

120832

        

31

Dichloropropane 1,2-

78875

        

32

Dichloropropene 1,3-

542756

        

111

Dieldrin

60571

0.24

   

0.71 O

X

0.0019 O

X

79

DiethylPhthalate

84662

        

47

Dimethylphenol 2,4-

105679

        

80

DimethylPhthalate

131113

        

81

Di-n-Butyl Phthalate

84742

        

49

Dinitrophenol 2,4-

51285

        

27 N

Dinitrophenols

25550587

        

82

Dinitrotoluene 2,4-

121142

        

83

Dinitrotoluene 2,6-

606202

        

84

Di-n-Octyl Phthalate

117840

        

16

Dioxin (2,3,7,8-TCDD)

1746016

        

85

Diphenylhydrazine 1,2-

122667

        

68

EthylhexylPhthalate Bis2-

117817

        
 

Endosulfan

 

0.22 I,P

X

0.056 I,P

X

0.034 I,P

X

0.0087 I,P

X

112

Endosulfan alpha-

959988

0.22 O

 

0.056 O

 

0.034 O

 

0.0087 O

 

113

Endosulfan beta-

33213659

0.22 O

 

0.056 O

 

0.034 O

 

0.0087 O

 

114

Endosulfan Sulfate

1031078

        

115

Endrin

72208

0.086

   

0.037 O

 

0.0023 O

 

116

Endrin Aldehyde

7421934

        

33

Ethylbenzene

100414

        

86

Fluoranthene

206440

        

87

Fluorene

86737

        

17 N

Guthion

86500

  

0.01

X

  

0.01

X

117

Heptachlor

76448

0.52 O

X

0.0038 O

X

0.053 O

X

0.0036 O

X

118

Heptachlor Epoxide

1024573

0.52 O

 

0.0038 O

 

0.053 O

 

0.0036 O

 

88

Hexachlorobenzene

118741

        

89

Hexachlorobutadiene

87683

        

91

Hexachloroethane

67721

        

19 N

Hexachlorocyclo-hexane-Technical

319868

        

90

Hexachlorocyclopentadiene

77474

        

92

Ideno1,2,3-(cd)Pyrene

193395

        

20 N

Iron

7439896

  

1,000

X

    

93

Isophorone

78591

        

7

Lead

7439921

        

21 N

Malathion

121755

  

0.1

X

  

0.1

X

22 N

Manganese

7439965

        

8a

Mercury

7439976

2.4

X

0.012

X

2.1

X

0.025

X

23 N

Methoxychlor

72435

  

0.03

X

  

0.03

X

34

Methyl Bromide

74839

        

35

Methyl Chloride

74873

        

48

Methyl-4,6-Dinitrophenol 2-

534521

        

52

Methyl-4-Chlorophenol 3-

59507

        

36

Methylene Chloride

75092

        

8b

Methylmercury

22967926

        

24 N

Mirex

2385855

  

0.001

X

  

0.001

X

94

Naphthalene

91203

        

9

Nickel

7440020

        

25 N

Nitrates

14797558

        

95

Nitrobenzene

98953

        

50

Nitrophenol 2-

88755

        

51

Nitrophenol 4-

100027

        

26 N

Nitrosamines

35576911

        

28 N

Nitrosodibutylamine,N

924163

        

29 N

Nitrosodiethylamine,N

55185

        

96

N-Nitrosodimethylamine

62759

        

98

N-Nitrosodiphenylamine

86306

        

30 N

Nitrosopyrrolidine,N

930552

        

97

N-Nitrosodi-n-Propylamine

621647

        

32 N

Oxygen, Dissolved

7782447

        

33 N

Parathion

56382

0.065

X

0.013

X

    

119

Polychlorinated Biphenyls PCBs:

1336363

2 U

X

0.014 U

X

10 U

X

0.03 U

X

34 N

Pentachlorobenzene

608935

        

53

Pentachlorophenol

87865

M

   

13

 

7.9

 

99

Phenanthrene

85018

        

54

Phenol

108952

        

36 N

Phosphorus Elemental

7723140

      

0.1

 

100

Pyrene

129000

        

10

Selenium

7782492

        

11

Silver

7440224

        

40 N

Sulfide-Hydrogen Sulfide

7783064

  

2

X

  

2

X

43 N

Tetrachlorobenzene,1,2,4,5

95943

        

37

Tetrachloroethane 1,1,2,2-

79345

        

38

Tetrachloroethylene

127184

        

12

Thallium

7440280

        

39

Toluene

108883

        

120

Toxaphene

8001352

0.73

X

0.0002

X

0.21

X

0.0002

X

40

Trans-Dichloroethylene 1,2-

156605

        

44 N

Tributyltin (TBT)

688733

        

101

Trichlorobenzene 1,2,4-

120821

        

41

Trichloroethane 1,1,1-

71556

        

42

Trichloroethane 1,1,2-

79005

        

43

Trichloroethylene

79016

        

45 N

Trichlorophenol 2,4,5

95954

        

55

Trichlorophenol 2,4,6-

88062

        

44

Vinyl Chloride

75014

        

13

Zinc

7440666

        

 

 

Footnotes for Tables 33A and 33B:

A  Values in Table 20 are applicable to all basins.

C  Ammonia criteria for freshwater may depend on pH, temperature, and the presence of salmonids or other fish with ammonia-sensitive early life stages. Values for freshwater criteria (of total ammonia nitrogen in mg N/L) can be calculated using the formulae specified in 1999 Update of Ambient Water Quality Criteria for Ammonia (EPA-822-R-99-014; http://www.epa.gov/ost/standards/ammonia/99update.pdf):

Freshwater Acute:

salmonids present….CMC = image

salmonids not present…CMC=image

Freshwater Chronic:

fish early life stages present

 CCC =image)

fish early life stages not present

 CCC=image  

Note: these chronic criteria formulae would be applied to calculate the 30-day average concentration limit; in addition, the highest 4-day average within the 30-day period should not exceed 2.5 times the CCC.

D  Ammonia criteria for saltwater may depend on pH and temperature. Values for saltwater criteria (total ammonia) can be calculated from the tables specified in Ambient Water Quality Criteria for Ammonia (Saltwater)--1989 (EPA 440/5-88-004; http://www.epa.gov/ost/pc/ambientwqc/ammoniasalt1989.pdf).

E  Freshwater and saltwater criteria for metals are expressed in terms of “dissolved” concentrations in the water column, except where otherwise noted (e.g. aluminum).

F  The freshwater criterion for this metal is expressed as a function of hardness (mg/L) in the water column. Criteria values for hardness may be calculated from the following formulae (CMC refers to Acute Criteria; CCC refers to Chronic Criteria):

         CMC = (exp(mA*[ln(hardness)] + bA))*CF

         CCC = (exp(mC*[ln(hardness)] + bC))*CF

where CF is the conversion factor used for converting a metal criterion expressed as the total recoverable fraction in the water column to a criterion expressed as the dissolved fraction in the water column.

 

Chemical

mA

bA

mC

bC

Cadmium

1.0166

-3.924

0.7409

-4.719

Chromium III

0.8190

3.7256

0.8190

0.6848

Copper

0.9422

-1.700

0.8545

-1.702

Lead

1.273

-1.460

1.273

-4.705

Nickel

0.8460

2.255

0.8460

0.0584

Silver

1.72

-6.59

  

Zinc

0.8473

0.884

0.8473

0.884

 

 

 

 

 

 

 

 

 

 

 

 

 

 

 

Conversion factors (CF) for dissolved metals (the values for total recoverable metals criteria were multiplied by the appropriate conversion factors shown below to calculate the dissolved metals criteria):

Chemical

Freshwater

Saltwater

 

Acute

Chronic

Acute

Chronic

Arsenic

1.000

1.000

1.000

1.000

Cadmium

1.136672-[(ln hardness)(0.041838)]

1.101672-[(ln hardness)(0.041838)]

0.994

0.994

Chromium III

0.316

0.860

--

--

Chromium VI

0.982

0.962

0.993

0.993

Copper

0.960

0.960

0.83

0.83

Lead

1.46203-[(ln hardness)(0.145712)]

1.46203-[(ln hardness)(0.145712)]

0.951

0.951

Nickel

0.998

0.997

0.990

0.990

Selenium

0.996

0.922

0.998

0.998

Silver

0.85

0.85

0.85

--

Zinc

0.978

0.986

0.946

0.946

 

 

I  This value is based on criterion published in Ambient Water Quality Criteria for Endosulfan (EPA 440/5-80-046) and should be applied as the sum of alpha- and beta-endosulfan.

M  Freshwater aquatic life values for pentachlorophenol are expressed as a function of pH, and are calculated as follows: CMC=(exp(1.005(pH)-4.869); CCC=exp(1.005(pH)-5.134).

N  This number was assigned to the list of non-priority pollutants in National Recommended Water Quality Criteria: 2002 (EPA-822-R-02-047).

O  This criterion is based on EPA recommendations issued in 1980 that were derived using guidelines that differed from EPA's 1985 Guidelines for minimum data requirements and derivation procedures. For example, a "CMC" derived using the 1980 Guidelines was derived to be used as an instantaneous maximum. If assessment is to be done using an averaging period, the values given should be divided by 2 to obtain a value that is more comparable to a CMC derived using the 1985 Guidelines.

P  Criterion shown is the minimum (i.e. CCC in water should not be below this value in order to protect aquatic life).

Q  Criterion is applied as total arsenic (i.e. arsenic (III) + arsenic (V)).

S  This criterion is expressed as µg free cyanide (CN)/L.

T  This criterion applies to DDT and its metabolites (i.e. the total concentration of DDT and its metabolites should not exceed this value).

U  This criterion applies to total PCBs (e.g. the sum of all congener or all isomer or homolog or Arochlor analyses).

V  The CMC=1/[(f1/CMC1)+(f2/CMC2)] where f1 and f2 are the fractions of total selenium that are treated as selenite and selenate, respectively, and CMC1 and CMC2 are 185.9 μg/L and 12.82 μg/L, respectively.

W  The acute and chronic criteria for aluminum are 750 μg/L and 87 μg/L, respectively. These values for aluminum are expressed in terms of “total recoverable” concentration of metal in the water column. The criterion applies at pH<6.6 and hardness<12 mg/L (as CaCO3).

X  The effective date for the criterion in the column immediately to the left is 1991.

Y  No criterion.

 

 

TABLE 33B

 

Note: The Environmental Quality Commission adopted the following criteria on May 20, 2004 to become effective on EPA approval. EPA has not yet (as of June 2006) approved these criteria. The Table 33B criteria may not be used until they are approved by EPA.

 

 

AQUATIC LIFE WATER QUALITY CRITERIA SUMMARY A

 

The concentration for each compound listed in Table 33A is a criterion not to be exceeded in waters of the state in order to protect aquatic life. All values are expressed as micrograms per liter (µg/L) except where noted. Compounds are listed in alphabetical order with the corresponding EPA number (from National Recommended Water Quality Criteria: 2002, EPA-822-R-02-047), the Chemical Abstract Service (CAS) number, aquatic life freshwater acute and chronic criteria, aquatic life saltwater acute and chronic criteria. The acute criteria refer to the average concentration for one (1) hour and the chronic criteria refer to the average concentration for 96 hours (4 days), and that these criteria should not be exceeded more than once every three (3) years.

EPA No.

Compound

CAS Number

  

Freshwater

Saltwater

   

Acute (CMC)

Effective Date

Chronic (CCC)

Effective Date

Acute (CMC)

Effective Date

Chronic (CCC)

Effective Date

2 N

Aluminum (pH 6.5 - 9.0)

7429905

W

 

W

     

3 N

Ammonia

7664417

C

 

C

     

2

Arsenic

7440382

        

15

Asbestos

1332214

        

19

Benzene

71432

        

3

Beryllium

7440417

        

105

BHC gamma- (Lindane)

58899

        

4

Cadmium

7440439

E,F

 

E,F

 

40 E

 

8.8 E

 

107

Chlordane

57749

        
 

CHLORINATED BENZENES

         

26

Chloroform

67663

        

67

ChloroisopropylEther Bis2-

108601

        

15 N

ChloromethylEther, Bis

542881

        

5a

Chromium (III)

 

E,F

 

E,F

     

5b

Chromium (VI)

18540299

16 E

 

11 E

     

6

Copper

7440508

E,F

 

E,F

 

4.8 E

 

3.1 E

 

108

DDT 4,4’-

50293

        
 

DIBUTYLPHTHALATE

         
 

DICHLOROBENZENES

         
 

DICHLOROBENZIDINE

         
 

DICHLOROETHYLENES

         
 

DICHLOROPROPENE

         

111

Dieldrin

60571

  

0.056

     
 

DINITROTOLUENE

         
 

DIPHENYLHYDRAZINE

         

115

Endrin

72208

  

0.036

     

86

Fluoranthene

206440

        
 

HALOMETHANES

         

20 N

Iron

7439896

        

7

Lead

7439921

E,F

 

E,F

 

210 E

 

8.1 E

 

22 N

Manganese

7439965

        

8a

Mercury

7439976

        
 

MONOCHLOROBENZENE

         

9

Nickel

7440020

E,F

 

E,F

 

74 E

 

8.2 E

 

53

Pentachlorophenol

87865

  

M

     

54

Phenol

108952

        
 

POLYNUCLEAR AROMATIC HYRDOCARBONS

         

10

Selenium

7782492

E,V

 

5 E

 

290 E

 

71 E

 

11

Silver

7440224

E,F,P

 

0.10 E

 

1.9 E,P

   

44 N

Tributyltin (TBT)

688733

0.46

 

0.063

 

0.37

 

0.01

 

41

Trichloroethane 1,1,1-

71556

        

55

Trichlorophenol 2,4,6-

88062

        

13

Zinc

7440666

E,F

 

E,F

 

90 E

 

81 E

 

 

Footnotes for Tables 33A and 33B:

A  Values in Table 20 are applicable to all basins.

C  Ammonia criteria for freshwater may depend on pH, temperature, and the presence of salmonids or other fish with ammonia-sensitive early life stages. Values for freshwater criteria (of total ammonia nitrogen in mg N/L) can be calculated using the formulae specified in 1999 Update of Ambient Water Quality Criteria for Ammonia (EPA-822-R-99-014; http://www.epa.gov/ost/standards/ammonia/99update.pdf):

Freshwater Acute:

salmonids present….CMC = image

salmonids not present…CMC=image

Freshwater Chronic:

fish early life stages present

 CCC =image)

fish early life stages not present

 CCC=image  

Note: these chronic criteria formulae would be applied to calculate the 30-day average concentration limit; in addition, the highest 4-day average within the 30-day period should not exceed 2.5 times the CCC.

D  Ammonia criteria for saltwater may depend on pH and temperature. Values for saltwater criteria (total ammonia) can be calculated from the tables specified in Ambient Water Quality Criteria for Ammonia (Saltwater)--1989 (EPA 440/5-88-004; http://www.epa.gov/ost/pc/ambientwqc/ammoniasalt1989.pdf).

E  Freshwater and saltwater criteria for metals are expressed in terms of “dissolved” concentrations in the water column, except where otherwise noted (e.g. aluminum).

F  The freshwater criterion for this metal is expressed as a function of hardness (mg/L) in the water column. Criteria values for hardness may be calculated from the following formulae (CMC refers to Acute Criteria; CCC refers to Chronic Criteria):

         CMC = (exp(mA*[ln(hardness)] + bA))*CF

         CCC = (exp(mC*[ln(hardness)] + bC))*CF

where CF is the conversion factor used for converting a metal criterion expressed as the total recoverable fraction in the water column to a criterion expressed as the dissolved fraction in the water column.

Chemical

mA

bA

mC

bC

Cadmium

1.0166

-3.924

0.7409

-4.719

Chromium III

0.8190

3.7256

0.8190

0.6848

Copper

0.9422

-1.700

0.8545

-1.702

Lead

1.273

-1.460

1.273

-4.705

Nickel

0.8460

2.255

0.8460

0.0584

Silver

1.72

-6.59

  

Zinc

0.8473

0.884

0.8473

0.884

 

 

 

 

 

 

 

 

 

 

 

 

 

 

 

 

Conversion factors (CF) for dissolved metals (the values for total recoverable metals criteria were multiplied by the appropriate conversion factors shown below to calculate the dissolved metals criteria):

Chemical

Freshwater

Saltwater

 

Acute

Chronic

Acute

Chronic

Arsenic

1.000

1.000

1.000

1.000

Cadmium

1.136672-[(ln hardness)(0.041838)]

1.101672-[(ln hardness)(0.041838)]

0.994

0.994

Chromium III

0.316

0.860

--

--

Chromium VI

0.982

0.962

0.993

0.993

Copper

0.960

0.960

0.83

0.83

Lead

1.46203-[(ln hardness)(0.145712)]

1.46203-[(ln hardness)(0.145712)]

0.951

0.951

Nickel

0.998

0.997

0.990

0.990

Selenium

0.996

0.922

0.998

0.998

Silver

0.85

0.85

0.85

--

Zinc

0.978

0.986

0.946

0.946

 

 

I  This value is based on criterion published in Ambient Water Quality Criteria for Endosulfan (EPA 440/5-80-046) and should be applied as the sum of alpha- and beta-endosulfan.

M  Freshwater aquatic life values for pentachlorophenol are expressed as a function of pH, and are calculated as follows: CMC=(exp(1.005(pH)-4.869); CCC=exp(1.005(pH)-5.134).

N  This number was assigned to the list of non-priority pollutants in National Recommended Water Quality Criteria: 2002 (EPA-822-R-02-047).

O  This criterion is based on EPA recommendations issued in 1980 that were derived using guidelines that differed from EPA's 1985 Guidelines for minimum data requirements and derivation procedures. For example, a "CMC" derived using the 1980 Guidelines was derived to be used as an instantaneous maximum. If assessment is to be done using an averaging period, the values given should be divided by 2 to obtain a value that is more comparable to a CMC derived using the 1985 Guidelines.

P  Criterion shown is the minimum (i.e. CCC in water should not be below this value in order to protect aquatic life).

R  Arsenic criterion refers to the inorganic form only.

S  This criterion is expressed as µg free cyanide (CN)/L.

T  This criterion applies to DDT and its metabolites (i.e. the total concentration of DDT and its metabolites should not exceed this value).

U  This criterion applies to total PCBs (e.g. the sum of all congener or all isomer or homolog or Arochlor analyses).

V  The CMC=1/[(f1/CMC1)+(f2/CMC2)] where f1 and f2 are the fractions of total selenium that are treated as selenite and selenate, respectively, and CMC1 and CMC2 are 185.9 μg/L and 12.82 μg/L, respectively.

W  The acute and chronic criteria for aluminum are 750 μg/L and 87 μg/L, respectively. These values for aluminum are expressed in terms of “total recoverable” concentration of metal in the water column. The criterion applies at pH<6.6 and hardness<12 mg/L (as CaCO3).

X  The effective date for the criterion in the column immediately to the left is 1991.

Y  No criterion.