DEPARTMENT OF ENVIRONMENTAL QUALITY
DIVISION 41
WATER QUALITY STANDARDS: BENEFICIAL USES, POLICIES, AND CRITERIA FOR OREGON
PROPOSED CHANGES TO TABLES 20, 33, 33A, AND 33B AND NEW TABLE 40
DEQ is proposing a new Table 40 which will only contain criteria applicable to human health. For this reason, the human health criteria will be deleted from Table 20, Table 33A, and Table 33B. These tables will remain a part of Oregon’s water quality standards and only contain the aquatic life criteria. The proposed table revisions will become effective upon EPA approval.
TABLE 40: Human Health Water Quality Criteria for Toxic Pollutants
Human Health Criteria Summary
The concentration for each pollutant listed in Table 40 was derived to protect Oregonians from potential adverse health impacts associated with long-term exposure to toxic substances associated with consumption of fish, shellfish, and water. The “organism only” criteria are established to protect fish and shellfish consumption and apply to waters of the state designated for fishing. The “water + organism” criteria are established to protect the consumption of drinking water, fish, and shellfish, and apply where both fishing and domestic water supply (public and private) are designated uses. All criteria are expressed as micrograms per liter (µg/L), unless otherwise noted. Pollutants are listed in alphabetical order. Additional information includes the Chemical Abstract Service (CAS) number, whether the criterion is based on carcinogenic effects (can cause cancer in humans), and whether there is an aquatic life criterion for the pollutant (i.e. “y”= yes, “n” = no). All the human health criteria were calculated using a fish consumption rate of 175 grams per day unless otherwise noted. A fish consumption rate of 175 grams per day is approximately equal to 23 8-ounce fish meals per month. For pollutants categorized as carcinogens, values represent a cancer risk of one additional case of cancer in one million people (i.e. 10-6), unless otherwise noted. All metals criteria are for total metal concentration, unless otherwise noted. Italicized pollutants represent non-priority pollutants. The human health criteria revisions established by OAR 340-041-0033 and shown in Table 40 do not become applicable for purposes of ORS chapter 468B or the federal Clean Water Act until approved by EPA pursuant to 40 CFR 131.21 (4/27/2000).
No. | Pollutant | CAS No. | Carcinogen | Aquatic Life Criterion | Human Health Criteria for the Consumption of: | ||
Water + Organism (µg/L) | Organism Only (µg/L) | ||||||
1 | Acenaphthene | 83329 | n | n | 95 | 99 | |
2 | Acrolein | 107028 | n | n | 0.88 | 0.93 | |
3 | Acrylonitrile | 107131 | y | n | 0.018 | 0.025 | |
4 | Aldrin | 309002 | y | y | 0.0000050 | 0.0000050 | |
5 | Anthracene | 120127 | n | n | 2900 | 4000 | |
6 | Antimony | 7440360 | n | n | 5.1 | 64 | |
7 | Arsenic (inorganic) A | 7440382 | y | n | 2.1 | 2.1(freshwater) 1.0 (saltwater) | |
A The arsenic criteria are expressed as total inorganic arsenic. The “organism only” criteria are based on a risk level of approximately of 1.1 x 10-5, and the “water + organism” criterion is based on a risk level of 1 x 10-4 | |||||||
8 | Asbestos B | 1332214 | y | n | 7,000,000 fibers/L | -- | |
B The human health risks from asbestos are primarily from drinking water, therefore no “organism only” criterion was developed. The “water + organism” criterion is based on the Maximum Contaminant Level (MCL) established under the Safe Drinking Water Act. | |||||||
9 | Barium C | 7440393 | n | n | 1000 | -- | |
C The human health criterion for barium is the same as originally published in the 1976 EPA Red Book which predates the 1980 methodology and did not utilize the fish ingestion BCF approach. This same criterion value was also published in the 1986 EPA Gold Book. Human health risks are primarily from drinking water, therefore no “organism only” criterion was developed. The “water + organism” criterion is based on the Maximum Contaminant Level (MCL) established under the Safe Drinking Water Act. | |||||||
10 | Benzene | 71432 | y | n | 0.44 | 1.4 | |
11 | Benzidine | 92875 | y | n | 0.000018 | 0.000020 | |
12 | Benz(a)anthracene | 56553 | y | n | 0.0013 | 0.0018 | |
13 | Benzo(a)pyrene | 50328 | y | n | 0.0013 | 0.0018 | |
14 | Benzo(b)fluoranthene 3,4 | 205992 | y | n | 0.0013 | 0.0018 | |
15 | Benzo(k)fluoranthene | 207089 | y | n | 0.0013 | 0.0018 | |
16 | BHC Alpha | 319846 | y | n | 0.00045 | 0.00049 | |
17 | BHC Beta | 319857 | y | n | 0.0016 | 0.0017 | |
18 | BHC Gamma (Lindane) | 58899 | n | y | 0.17 | 0.18 | |
19 | Bromoform | 75252 | y | n | 3.3 | 14 | |
20 | Butylbenzyl Phthalate | 85687 | n | n | 190 | 190 | |
21 | Carbon Tetrachloride | 56235 | y | n | 0.10 | 0.16 | |
22 | Chlordane | 57749 | y | y | 0.000081 | 0.000081 | |
23 | Chlorobenzene | 108907 | n | n | 74 | 160 | |
24 | Chlorodibromomethane | 124481 | y | n | 0.31 | 1.3 | |
25 | Chloroethyl Ether bis 2 | 111444 | y | n | 0.020 | 0.05 | |
26 | Chloroform | 67663 | n | n | 260 | 1100 | |
27 | Chloroisopropyl Ether bis 2 | 108601 | n | n | 1200 | 6500 | |
28 | Chloromethyl ether, bis | 542881 | y | n | 0.000024 | 0.000029 | |
29 | Chloronaphthalene 2 | 91587 | n | n | 150 | 160 | |
30 | Chlorophenol 2 | 95578 | n | n | 14 | 15 | |
31 | Chlorophenoxy Herbicide (2,4,5,-TP) D | 93721 | n | n | 10 | -- | |
D The Chlorophenoxy Herbicide (2,4,5,-TP) criterion is the same as originally published in the 1976 EPA Red Book which predates the 1980 methodology and did not utilize the fish ingestion BCF approach. This same criterion value was also published in the 1986 EPA Gold Book. Human health risks are primarily from drinking water, therefore no “organism only” criterion was developed. The “water + organism” criterion is based on the Maximum Contaminant Level (MCL) established under the Safe Drinking Water Act. | |||||||
32 | Chlorophenoxy Herbicide (2,4-D) E | 94757 | n | n | 100 | -- | |
E The Chlorophenoxy Herbicide (2,4-D) criterion is the same as originally published in the 1976 EPA Red Book which predates the 1980 methodology and did not utilize the fish ingestion BCF approach. This same criterion value was also published in the 1986 EPA Gold Book. Human health risks are primarily from drinking water, therefore no “organism only” criterion was developed. The “water + organism” criterion is based on the Maximum Contaminant Level (MCL) established under the Safe Drinking Water Act. | |||||||
33 | Chrysene | 218019 | y | n | 0.0013 | 0.0018 | |
34 | Copper F | 7440508 | n | y | 1300 | -- | |
F Human health risks from copper are primarily from drinking water, therefore no “organism only” criterion was developed. The “water + organism” criterion is based on the Maximum Contaminant Level (MCL) established under the Safe Drinking Water Act. | |||||||
35 | Cyanide G | 57125 | n | y | 130 | 130 | |
G The cyanide criterion is expressed as total cyanide (CN)/L. | |||||||
36 | DDD 4,4' | 72548 | y | n | 0.000031 | 0.000031 | |
37 | DDE 4,4' | 72559 | y | n | 0.000022 | 0.000022 | |
38 | DDT 4,4' | 50293 | y | y | 0.000022 | 0.000022 | |
39 | Dibenz(a,h)anthracene | 53703 | y | n | 0.0013 | 0.0018 | |
40 | Dichlorobenzene(m) 1,3 | 541731 | n | n | 80 | 96 | |
41 | Dichlorobenzene(o) 1,2 | 95501 | n | n | 110 | 130 | |
42 | Dichlorobenzene(p) 1,4 | 106467 | n | n | 16 | 19 | |
43 | Dichlorobenzidine 3,3' | 91941 | y | n | 0.0027 | 0.0028 | |
44 | Dichlorobromomethane | 75274 | y | n | 0.42 | 1.7 | |
45 | Dichloroethane 1,2 | 107062 | y | n | 0.35 | 3.7 | |
46 | Dichloroethylene 1,1 | 75354 | n | n | 230 | 710 | |
47 | Dichloroethylene trans 1,2 | 156605 | n | n | 120 | 1000 | |
48 | Dichlorophenol 2,4 | 120832 | n | n | 23 | 29 | |
49 | Dichloropropane 1,2 | 78875 | y | n | 0.38 | 1.5 | |
50 | Dichloropropene 1,3 | 542756 | y | n | 0.30 | 2.1 | |
51 | Dieldrin | 60571 | y | y | 0.0000053 | 0.0000054 | |
52 | Diethyl Phthalate | 84662 | n | n | 3800 | 4400 | |
53 | Dimethyl Phthalate | 131113 | n | n | 84000 | 110000 | |
54 | Dimethylphenol 2,4 | 105679 | n | n | 76 | 85 | |
55 | Di-n-butyl Phthalate | 84742 | n | n | 400 | 450 | |
56 | Dinitrophenol 2,4 | 51285 | n | n | 62 | 530 | |
57 | Dinitrophenols | 25550587 | n | n | 62 | 530 | |
58 | Dinitrotoluene 2,4 | 121142 | y | n | 0.084 | 0.34 | |
59 | Dioxin (2,3,7,8-TCDD) | 1746016 | y | n | 0.00000000051 | 0.00000000051 | |
60 | Diphenylhydrazine 1,2 | 122667 | y | n | 0.014 | 0.020 | |
61 | Endosulfan Alpha | 959988 | n | y | 8.5 | 8.9 | |
62 | Endosulfan Beta | 33213659 | n | y | 8.5 | 8.9 | |
63 | Endosulfan Sulfate | 1031078 | n | n | 8.5 | 8.9 | |
64 | Endrin | 72208 | n | y | 0.024 | 0.024 | |
65 | Endrin Aldehyde | 7421934 | n | n | 0.030 | 0.030 | |
66 | Ethylbenzene | 100414 | n | n | 160 | 210 | |
67 | Ethylhexyl Phthalate bis 2 | 117817 | y | n | 0.20 | 0.22 | |
68 | Fluoranthene | 206440 | n | n | 14 | 14 | |
69 | Fluorene | 86737 | n | n | 390 | 530 | |
70 | Heptachlor | 76448 | y | y | 0.0000079 | 0.0000079 | |
71 | Heptachlor Epoxide | 1024573 | y | y | 0.0000039 | 0.0000039 | |
72 | Hexachlorobenzene | 118741 | y | n | 0.000029 | 0.000029 | |
73 | Hexachlorobutadiene | 87683 | y | n | 0.36 | 1.8 | |
74 | Hexachlorocyclo-hexane-Technical | 608731 | y | n | 0.0014 | 0.0015 | |
75 | Hexachlorocyclopentadiene | 77474 | n | n | 30 | 110 | |
76 | Hexachloroethane | 67721 | y | n | 0.29 | 0.33 | |
77 | Indeno(1,2,3-cd)pyrene | 193395 | y | n | 0.0013 | 0.0018 | |
78 | Isophorone | 78591 | y | n | 27 | 96 | |
79 | Manganese H | 7439965 | n | n | -- | 100 | |
H The “fish consumption only” criterion for manganese applies only to salt water and is for total manganese. This EPA recommended criterion predates the 1980 human health methodology and does not utilize the fish ingestion BCF calculation method or a fish consumption rate. | |||||||
80 | Methoxychlor I | 72435 | n | y | 100 | -- | |
I The human health criterion for methoxychlor is the same as originally published in the 1976 EPA Red Book which predates the 1980 methodology and did not utilize the fish ingestion BCF approach. This same criterion value was also published in the1986 EPA Gold Book. Human health risks are primarily from drinking water, therefore no “organism only” criterion was developed. The “water + organism” criterion is based on the Maximum Contaminant Level (MCL) established under the Safe Drinking Water Act. | |||||||
81 | Methyl Bromide | 74839 | n | n | 37 | 150 | |
82 | Methyl-4,6-dinitrophenol 2 | 534521 | n | n | 9.2 | 28 | |
83 | Methylene Chloride | 75092 | y | n | 4.3 | 59 | |
84 | Methylmercury (mg/kg) J | 22967926 | n | n | -- | 0.040 mg/kg | |
J This value is expressed as the fish tissue concentration of methylmercury. Contaminated fish and shellfish is the primary human route of exposure to methylmercury | |||||||
85 | Nickel | 7440020 | n | n | 140 | 170 | |
86 | Nitrates K | 14797558 | n | n | 10000 | -- | |
K The human health criterion for nitrates is the same as originally published in the 1976 EPA Red Book which predates the 1980 methodology and did not utilize the fish ingestion BCF approach. This same criterion value was also published in the 1986 EPA Gold Book. Human health risks are primarily from drinking water, therefore no “organism only” criterion was developed. The “water + organism” criterion is based on the Maximum Contaminant Level (MCL) established under the Safe Drinking Water Act. | |||||||
87 | Nitrobenzene | 98953 | n | n | 14 | 69 | |
88 | Nitrosamines | 35576911 | y | n | 0.00079 | 0.046 | |
89 | Nitrosodibutylamine, N | 924163 | y | n | 0.0050 | 0.022 | |
90 | Nitrosodiethylamine, N | 55185 | y | n | 0.00079 | 0.046 | |
91 | Nitrosodimethylamine, N | 62759 | y | n | 0.00068 | 0.30 | |
92 | Nitrosodi-n-propylamine, N | 621647 | y | n | 0.0046 | 0.051 | |
93 | Nitrosodiphenylamine, N | 86306 | y | n | 0.55 | 0.60 | |
94 | Nitrosopyrrolidine, N | 930552 | y | n | 0.016 | 3.4 | |
95 | Pentachlorobenzene | 608935 | n | n | 0.15 | 0.15 | |
96 | Pentachlorophenol | 87865 | y | y | 0.15 | 0.30 | |
97 | Phenol | 108952 | n | n | 9400 | 86000 | |
98 | Polychlorinated Biphenyls (PCBs) L | NA | y | y | 0.0000064 | 0.0000064 | |
L This criterion applies to total PCBs (e.g. determined as Aroclors or congeners). | |||||||
99 | Pyrene | 129000 | n | n | 290 | 400 | |
100 | Selenium | 7782492 | n | n | 120 | 420 | |
101 | Tetrachlorobenzene, 1,2,4,5- | 95943 | n | n | 0.11 | 0.11 | |
102 | Tetrachloroethane 1,1,2,2 | 79345 | y | n | 0.12 | 0.40 | |
103 | Tetrachloroethylene | 127184 | y | n | 0.24 | 0.33 | |
104 | Thallium | 7440280 | n | n | 0.043 | 0.047 | |
105 | Toluene | 108883 | n | n | 720 | 1500 | |
106 | Toxaphene | 8001352 | y | y | 0.000028 | 0.000028 | |
107 | Trichlorobenzene 1,2,4 | 120821 | n | n | 6.4 | 7.0 | |
108 | Trichloroethane 1,1,2 | 79005 | y | y | 0.44 | 1.6 | |
109 | Trichloroethylene | 79016 | y | n | 1.4 | 3.0 | |
110 | Trichlorophenol 2,4,6 | 88062 | y | n | 0.23 | 0.24 | |
111 | Trichlorophenol, 2, 4, 5- | 95954 | n | n | 330 | 360 | |
112 | Vinyl Chloride | 75014 | y | n | 0.023 | 0.24 | |
113 | Zinc | 7440666 | n | n | 2100 | 2600 | |
Table 20
AQUATIC LIFE WATER QUALITY CRITERIA SUMMARY 1
The concentration for each compound listed in Table 20 is a criterion not to be exceeded in waters of the state in order to protect aquatic life. All values are expressed as micrograms per liter (µg/L) except where noted. Compounds are listed in alphabetical order with the corresponding designations as to whether EPA has identified it as a priority pollutant and a carcinogen, aquatic life freshwater acute and chronic criteria, aquatic life marine acute and chronic criteria. The acute criteria refer to the average concentration for one (1) hour and the chronic criteria refer to the average concentration for 96 hours (4 days), and that these criteria should not be exceeded more than once every three (3) years.
Compound Name (or Class) | Priority Pollutant | Concentration in Micrograms Per Liter for Protection of Aquatic Life | |||
Fresh Acute Criteria | Fresh Chronic Criteria | Marine Acute Criteria | Marine Chronic Criteria | ||
ACENAPTHENE | Y | ||||
ACROLEIN | Y | ||||
ACRYLONITRILE | Y | ||||
ALDRIN | Y | 3 | 1.3 | ||
ALKALINITY | N | 20,000 | |||
AMMONIA | N | ||||
ANTIMONY | Y | ||||
ARSENIC | Y | ||||
ARSENIC (PENT) | Y | ||||
ARSENIC (TRI) | Y | 360 | 190 | 69 | 36 |
ASBESTOS | Y | ||||
BARIUM | N | ||||
BENZENE | Y | ||||
BENZIDINE | Y | ||||
BERYLLIUM | Y | ||||
BHC | Y | ||||
CADMIUM | Y | 3.9+ | 1.1+ | 43 | 9.3 |
CARBON TETRACHLORIDE | Y | ||||
CHLORDANE | Y | 2.4 | 0.0043 | 0.09 | 0.004 |
CHLORIDE | N | 860 mg/L | 230 mg/L | ||
CHLORINATED BENZENES | Y | ||||
CHLORINATED NAPHTHALENES | Y | ||||
CHLORINE | N | 19 | 11 | 13 | 7.5 |
CHLOROALKYL ETHERS | Y | ||||
CHLOROETHYL ETHER (BIS-2) | Y | ||||
CHLOROFORM | Y | ||||
CHLOROISOPROPYL ETHER (BIS-2) | Y | ||||
CHLOROMETHYL ETHER (BIS) | N | ||||
CHLOROPHENOL 2 | Y | ||||
CHLOROPHENOL 4 | N | ||||
CHLOROPHENOXY HERBICIDES (2,4,5,-TP) | N | ||||
CHLOROPHENOXY HERBICIDES (2,4-D) | N | ||||
CHLORPYRIFOS | N | 0.083 | 0.041 | 0.011 | 0.0056 |
CHLORO-4 METHYL-3 PHENOL | N | ||||
CHROMIUM (HEX) | Y | 16 | 11 | 1,100 | 50 |
CHROMIUM (TRI) | N | 1,700.+ | 210.+ | ||
COPPER | Y | 18.+ | 12.+ | 2.9 | 2.9 |
CYANIDE | Y | 22 | 5.2 | 1 | 1 |
DDT | Y | 1.1 | 0.001 | 0.13 | 0.001 |
(TDE) DDT METABOLITE | Y | ||||
(DDE) DDT METABOLITE | Y | ||||
DEMETON | Y | 0.1 | 0.1 | ||
DIBUTYLPHTHALATE | Y | ||||
DICHLOROBENZENES | Y | ||||
DICHLOROBENZIDINE | Y | ||||
DICHLOROETHANE 1,2 | Y | ||||
DICHLOROETHYLENES | Y | ||||
DICHLOROPHENOL 2,4 | N | ||||
DICHLOROPROPANE | Y | ||||
DICHLOROPROPENE | Y | ||||
DIELDRIN | Y | 2.5 | 0.0019 | 0.71 | 0.0019 |
DIETHYLPHTHALATE | Y | ||||
DIMETHYL PHENOL 2,4 | Y | ||||
DIMETHYL PHTHALATE | Y | ||||
DINITROTOLUENE 2,4 | N | ||||
DINITROTOLUENE | Y | ||||
DINITROTOLUENE | N | ||||
DINITRO-O-CRESOL 2,4 | Y | ||||
DIOXIN (2,3,7,8-TCDD) | Y | ||||
DIPHENYLHYDRAZINE | Y | ||||
DIPHENYLHYDRAZINE 1,2 | Y | ||||
DI-2-ETHYLHEXYL PHTHALATE | Y | ||||
ENDOSULFAN | Y | 0.22 | 0.056 | 0.034 | 0.0087 |
ENDRIN | Y | 0.18 | 0.0023 | 0.037 | 0.0023 |
ETHYLBENZENE | Y | ||||
FLUORANTHENE | Y | ||||
GUTHION | N | 0.01 | 0.01 | ||
HALOETHERS | Y | ||||
HALOMETHANES | Y | ||||
HEPTACHLOR | Y | 0.52 | 0.0038 | 0.053 | 0.0036 |
HEXACHLOROETHANE | N | ||||
HEXACHLOROBENZENE | Y | ||||
HEXACHLOROBUTADIENE | Y | ||||
HEXACHLOROCYCLOHEXANE (LINDANE) | Y | 2 | 0.08 | 0.16 | |
HEXACHLOROCYCLOHEXANE-ALPHA | Y | ||||
HEXACHLOROCYCLOHEXANE-BETA | Y | ||||
HEXACHLOROCYCLOHEXANE-GAMA | Y | ||||
HEXACHLOROCYCLOHEXANE-TECHNICAL | Y | ||||
HEXACHLOROCYCLOPENTADIENE | Y | ||||
IRON | N | 1,000 | |||
ISOPHORONE | Y | ||||
LEAD | Y | 82.+ | 3.2+ | 140 | 5.6 |
MALATHION | N | 0.1 | 0.1 | ||
MANGANESE | N | ||||
MERCURY | Y | 2.4 | 0.012 | 2.1 | 0.025 |
METHOXYCHLOR | N | 0.03 | 0.03 | ||
MIREX | N | 0.001 | 0.001 | ||
MONOCHLOROBENZENE | Y | ||||
NAPHTHALENE | Y | ||||
NICKEL | Y | 1,400.+ | 160+ | 75 | 8.3 |
NITRATES | N | ||||
NITROBENZENE | Y | ||||
NITROPHENOLS | Y | ||||
NITROSAMINES | Y | ||||
NITROSODIBUTYLAMINE N | Y | ||||
NITROSODIETHYLAMINE N | Y | ||||
NITROSODIMETHYLAMINE N | Y | ||||
NITROSODIPHENYLAMINE N | Y | ||||
NITROSOPYRROLIDINE N | Y | ||||
PARATHION | N | 0.065 | 0.013 | ||
PCB's | Y | 2 | 0.014 | 10 | 0.03 |
PENTACHLORINATED ETHANES | N | ||||
PENTACHLOROBENZENE | N | ||||
PENTACHLOROPHENOL | Y | ***20 | ***13 | 13 | |
PHENOL | Y | ||||
PHOSPHORUS ELEMENTAL | N | 0.1 | |||
PHTHALATE ESTERS | Y | ||||
POLYNUCLEAR AROMATIC HYDROCARBONS | Y | ||||
SELENIUM | Y | 260 | 35 | 410 | 54 |
SILVER | Y | 4.1+ | 0.12 | 2.3 | |
SULFIDE HYDROGEN SULFIDE | N | 2 | 2 | ||
TETRACHLORINATED ETHANES | Y | ||||
TETRACHLOROBENZENE 1,2,4,5 | Y | ||||
TETRACHLOROETHANE 1,1,2,2 | Y | ||||
TETRACHLOROETHANES | Y | ||||
TETRACHLOROETHYLENE | Y | ||||
TETRACHLOROPHENOL 2,3,5,6 | Y | ||||
THALLIUM | Y | ||||
TOLUENE | Y | ||||
TOXAPHENE | Y | 0.73 | 0.0002 | 0.21 | 0.0002 |
TRICHLORINATED EtHANES | Y | ||||
TRICHLOROETHANE 1,1,1 | Y | ||||
TRICHLOROETHANE 1,1,2 | Y | ||||
TRICHLOROETHYLENE | Y | ||||
TRICHLOROPHENOL 2,4,5 | N | ||||
TRICHLOROPHENOL 2,4,6 | Y | ||||
VINYL CHLORIDE | Y | ||||
ZINC | Y | 120+ | 110+ | 95 | 86 |
MEANING OF SYMBOLS:
g = grams + = Hardness Dependent Criteria (100 mg/L used).
mg = milligrams * = Insufficient data to develop criteria; value presented is the L.O.E.L – Lower Observed Effect Level.
ug = micrograms
ng = nanograms *** = pH Dependent Criteria (7.8 pH used).
pg = picograms
Y = Yes
N = No
1 = Values in Table 20 are applicable to all basins.
The freshwater criterion for this metal is expressed as a function of hardness (mg/L) in the water column. Criteria values for hardness may be calculated from the following formulae (CMC refers to Acute Criteria; CCC refers to Chronic Criteria):
CMC = (exp(mA*[ln(hardness)] + bA))*CF
CCC = (exp(mC*[ln(hardness)] + bC))*CF
Chemical | mA | bA | mC | bC |
Cadmium | 1.128 | -3.828 | 0.7852 | -3.49 |
Chromium III | 0.819 | 3.688 | 0.819 | 1.561 |
Copper | 0.9422 | -1.464 | 0.8545 | -1.465 |
Lead | 1.273 | -1.46 | 1.273 | -4.705 |
Nickel | 0.846 | 3.3612 | 0.846 | 1.1645 |
Silver | 1.72 | -6.52 |
|
|
Zinc | 0.8473 | 0.8604 | 0.8473 | 0.7614 |
Table 33A Redline/Strikethrough
TABLE 33A
Note: The Environmental Quality Commission adopted the following criteria on May 20, 2004 to become effective February 15, 2005. However, EPA has not yet (as of June 2006) approved the criteria. Thus, Table 33A criteria may be used in NPDES permits, but not for the section 303(d) list of impaired waters.
AQUATIC LIFE WATER QUALITY CRITERIA SUMMARY A
The concentration for each compound listed in Table 33A is a criterion not to be exceeded in waters of the state in order to protect aquatic life. All values are expressed as micrograms per liter (µg/L) except where noted. Compounds are listed in alphabetical order with the corresponding EPA number (from National Recommended Water Quality Criteria: 2002, EPA-822-R-02-047), the Chemical Abstract Service (CAS) number, aquatic life freshwater acute and chronic criteria, aquatic life saltwater acute and chronic criteria. The acute criteria refer to the average concentration for one (1) hour and the chronic criteria refer to the average concentration for 96 hours (4 days), and that these criteria should not be exceeded more than once every three (3) years.
EPA No. | Compound | CAS Number | ||||||||||
Freshwater | Saltwater | |||||||||||
Acute (CMC) | Effective Date | Chronic (CCC) | Effective Date | Acute (CMC) | Effective Date | Chronic (CCC) | Effective Date | |||||
56 | Acenaphthene | 83329 | ||||||||||
57 | Acenaphthylene | 208968 | ||||||||||
17 | Acrolein | 107028 | ||||||||||
18 | Acrylonitrile | 107131 | ||||||||||
102 | Aldrin | 309002 | 3 O | X | 1.3 O | X | ||||||
1 N | Alkalinity | 20,000 P | ||||||||||
2 N | Aluminum (pH 6.5 - 9.0) | 7429905 | ||||||||||
3 N | Ammonia | 7664417 | D | X | D | X | ||||||
58 | Anthracene | 120127 | ||||||||||
1 | Antimony | 7440360 | ||||||||||
2 | Arsenic | 7440382 | ||||||||||
15 | Asbestos | 1332214 | ||||||||||
6 N | Barium | 7440393 | ||||||||||
19 | Benzene | 71432 | ||||||||||
59 | Benzidine | 92875 | ||||||||||
60 | Benzo(a)Anthracene | 56553 | ||||||||||
61 | Benzo(a)Pyrene | 50328 | ||||||||||
62 | Benzo(b)Fluoranthene | 205992 | ||||||||||
63 | Benzo(g,h,i)Perylene | 191242 | ||||||||||
64 | Benzo(k)Fluoranthene | 207089 | ||||||||||
3 | Beryllium | 7440417 | ||||||||||
103 | BHC alpha- | 319846 | ||||||||||
104 | BHC beta- | 319857 | ||||||||||
106 | BHC delta- | 319868 | ||||||||||
105 | BHC gamma- (Lindane) | 58899 | 0.95 | 0.08 | X | 0.16 O | ||||||
7 N | Boron | 7440428 | ||||||||||
20 | Bromoform | 75252 | ||||||||||
69 | Bromophenyl Phenyl Ether 4- | |||||||||||
70 | Butylbenzyl Phthalate | 85687 | ||||||||||
4 | Cadmium | 7440439 | ||||||||||
21 | Carbon Tetrachloride | 56235 | ||||||||||
107 | Chlordane | 57749 | 2.4 O | X | 0.0043 O | X | 0.09 O | X | 0.004 O | X | ||
8 N | Chloride | 16887006 | 860000 | 230000 | ||||||||
9 N | Chlorine | 7782505 | 19 | X | 11 | X | 13 | X | 7.5 | X | ||
22 | Chlorobenzene | 108907 | ||||||||||
23 | Chlorodibromomethane | 124481 | ||||||||||
24 | Chloroethane | 75003 | ||||||||||
65 | ChloroethoxyMethane Bis2- | 111911 | ||||||||||
66 | ChloroethylEther Bis2- | 111444 | ||||||||||
25 | Chloroethylvinyl Ether 2- | 110758 | ||||||||||
26 | Chloroform | 67663 | ||||||||||
67 | ChloroisopropylEther Bis2- | 108601 | ||||||||||
15 N | ChloromethylEther, Bis | 542881 | ||||||||||
71 | Chloronaphthalene 2- | 91587 | ||||||||||
45 | Chlorophenol 2- | 95578 | ||||||||||
10 N | Chlorophenoxy Herbicide (2,4,5,-TP) | 93721 | ||||||||||
11 N | Chlorophenoxy Herbicide (2,4-D) | 94757 | ||||||||||
72 | Chlorophenyl Phenyl Ether 4- | 7005723 | ||||||||||
12 N | Chloropyrifos | 2921882 | 0.083 | X | 0.041 | X | 0.011 | X | 0.0056 | X | ||
5a | Chromium (III) | |||||||||||
5b | Chromium (VI) | 18540299 | ||||||||||
73 | Chrysene | 218019 | ||||||||||
6 | Copper | 7440508 | ||||||||||
14 | Cyanide | 57125 | 22 S | X | 5.2 S | X | 1 S | X | 1 S | X | ||
108 | DDT 4,4'- | 50293 | 1.1 O,T | X | 0.001 O,T | X | 0.13 O,T | X | 0.001 O,T | X | ||
109 | DDE 4,4'- | 72559 | ||||||||||
110 | DDD 4,4'- | 72548 | ||||||||||
14 N | Demeton | 8065483 | 0.1 | X | 0.1 | X | ||||||
74 | Dibenzo(a,h)Anthracene | 53703 | ||||||||||
75 | Dichlorobenzene 1,2- | 95501 | ||||||||||
76 | Dichlorobenzene 1,3- | 541731 | ||||||||||
77 | Dichlorobenzene 1,4- | 106467 | ||||||||||
78 | Dichlorobenzidine 3,3'- | 91941 | ||||||||||
27 | Dichlorobromomethane | 75274 | ||||||||||
28 | Dichloroethane 1,1- | 75343 | ||||||||||
29 | Dichloroethane 1,2- | 107062 | ||||||||||
30 | Dichloroethylene 1,1- | 75354 | ||||||||||
46 | Dichlorophenol 2,4- | 120832 | ||||||||||
31 | Dichloropropane 1,2- | 78875 | ||||||||||
32 | Dichloropropene 1,3- | 542756 | ||||||||||
111 | Dieldrin | 60571 | 0.24 | 0.71 O | X | 0.0019 O | X | |||||
79 | DiethylPhthalate | 84662 | ||||||||||
47 | Dimethylphenol 2,4- | 105679 | ||||||||||
80 | DimethylPhthalate | 131113 | ||||||||||
81 | Di-n-Butyl Phthalate | 84742 | ||||||||||
49 | Dinitrophenol 2,4- | 51285 | ||||||||||
27 N | Dinitrophenols | 25550587 | ||||||||||
82 | Dinitrotoluene 2,4- | 121142 | ||||||||||
83 | Dinitrotoluene 2,6- | 606202 | ||||||||||
84 | Di-n-Octyl Phthalate | 117840 | ||||||||||
16 | Dioxin (2,3,7,8-TCDD) | 1746016 | ||||||||||
85 | Diphenylhydrazine 1,2- | 122667 | ||||||||||
68 | EthylhexylPhthalate Bis2- | 117817 | ||||||||||
Endosulfan | 0.22 I,P | X | 0.056 I,P | X | 0.034 I,P | X | 0.0087 I,P | X | ||||
112 | Endosulfan alpha- | 959988 | 0.22 O | 0.056 O | 0.034 O | 0.0087 O | ||||||
113 | Endosulfan beta- | 33213659 | 0.22 O | 0.056 O | 0.034 O | 0.0087 O | ||||||
114 | Endosulfan Sulfate | 1031078 | ||||||||||
115 | Endrin | 72208 | 0.086 | 0.037 O | 0.0023 O | |||||||
116 | Endrin Aldehyde | 7421934 | ||||||||||
33 | Ethylbenzene | 100414 | ||||||||||
86 | Fluoranthene | 206440 | ||||||||||
87 | Fluorene | 86737 | ||||||||||
17 N | Guthion | 86500 | 0.01 | X | 0.01 | X | ||||||
117 | Heptachlor | 76448 | 0.52 O | X | 0.0038 O | X | 0.053 O | X | 0.0036 O | X | ||
118 | Heptachlor Epoxide | 1024573 | 0.52 O | 0.0038 O | 0.053 O | 0.0036 O | ||||||
88 | Hexachlorobenzene | 118741 | ||||||||||
89 | Hexachlorobutadiene | 87683 | ||||||||||
91 | Hexachloroethane | 67721 | ||||||||||
19 N | Hexachlorocyclo-hexane-Technical | 319868 | ||||||||||
90 | Hexachlorocyclopentadiene | 77474 | ||||||||||
92 | Ideno1,2,3-(cd)Pyrene | 193395 | ||||||||||
20 N | Iron | 7439896 | 1,000 | X | ||||||||
93 | Isophorone | 78591 | ||||||||||
7 | Lead | 7439921 | ||||||||||
21 N | Malathion | 121755 | 0.1 | X | 0.1 | X | ||||||
22 N | Manganese | 7439965 | ||||||||||
8a | Mercury | 7439976 | 2.4 | X | 0.012 | X | 2.1 | X | 0.025 | X | ||
23 N | Methoxychlor | 72435 | 0.03 | X | 0.03 | X | ||||||
34 | Methyl Bromide | 74839 | ||||||||||
35 | Methyl Chloride | 74873 | ||||||||||
48 | Methyl-4,6-Dinitrophenol 2- | 534521 | ||||||||||
52 | Methyl-4-Chlorophenol 3- | 59507 | ||||||||||
36 | Methylene Chloride | 75092 | ||||||||||
8b | Methylmercury | 22967926 | ||||||||||
24 N | Mirex | 2385855 | 0.001 | X | 0.001 | X | ||||||
94 | Naphthalene | 91203 | ||||||||||
9 | Nickel | 7440020 | ||||||||||
25 N | Nitrates | 14797558 | ||||||||||
95 | Nitrobenzene | 98953 | ||||||||||
50 | Nitrophenol 2- | 88755 | ||||||||||
51 | Nitrophenol 4- | 100027 | ||||||||||
26 N | Nitrosamines | 35576911 | ||||||||||
28 N | Nitrosodibutylamine,N | 924163 | ||||||||||
29 N | Nitrosodiethylamine,N | 55185 | ||||||||||
96 | N-Nitrosodimethylamine | 62759 | ||||||||||
98 | N-Nitrosodiphenylamine | 86306 | ||||||||||
30 N | Nitrosopyrrolidine,N | 930552 | ||||||||||
97 | N-Nitrosodi-n-Propylamine | 621647 | ||||||||||
32 N | Oxygen, Dissolved | 7782447 | ||||||||||
33 N | Parathion | 56382 | 0.065 | X | 0.013 | X | ||||||
119 | Polychlorinated Biphenyls PCBs: | 1336363 | 2 U | X | 0.014 U | X | 10 U | X | 0.03 U | X | ||
34 N | Pentachlorobenzene | 608935 | ||||||||||
53 | Pentachlorophenol | 87865 | M | 13 | 7.9 | |||||||
99 | Phenanthrene | 85018 | ||||||||||
54 | Phenol | 108952 | ||||||||||
36 N | Phosphorus Elemental | 7723140 | 0.1 | |||||||||
100 | Pyrene | 129000 | ||||||||||
10 | Selenium | 7782492 | ||||||||||
11 | Silver | 7440224 | ||||||||||
40 N | Sulfide-Hydrogen Sulfide | 7783064 | 2 | X | 2 | X | ||||||
43 N | Tetrachlorobenzene,1,2,4,5 | 95943 | ||||||||||
37 | Tetrachloroethane 1,1,2,2- | 79345 | ||||||||||
38 | Tetrachloroethylene | 127184 | ||||||||||
12 | Thallium | 7440280 | ||||||||||
39 | Toluene | 108883 | ||||||||||
120 | Toxaphene | 8001352 | 0.73 | X | 0.0002 | X | 0.21 | X | 0.0002 | X | ||
40 | Trans-Dichloroethylene 1,2- | 156605 | ||||||||||
44 N | Tributyltin (TBT) | 688733 | ||||||||||
101 | Trichlorobenzene 1,2,4- | 120821 | ||||||||||
41 | Trichloroethane 1,1,1- | 71556 | ||||||||||
42 | Trichloroethane 1,1,2- | 79005 | ||||||||||
43 | Trichloroethylene | 79016 | ||||||||||
45 N | Trichlorophenol 2,4,5 | 95954 | ||||||||||
55 | Trichlorophenol 2,4,6- | 88062 | ||||||||||
44 | Vinyl Chloride | 75014 | ||||||||||
13 | Zinc | 7440666 | ||||||||||
Footnotes for Tables 33A and 33B:
A Values in Table 20 are applicable to all basins.
C Ammonia criteria for freshwater may depend on pH, temperature, and the presence of salmonids or other fish with ammonia-sensitive early life stages. Values for freshwater criteria (of total ammonia nitrogen in mg N/L) can be calculated using the formulae specified in 1999 Update of Ambient Water Quality Criteria for Ammonia (EPA-822-R-99-014; http://www.epa.gov/ost/standards/ammonia/99update.pdf):
Freshwater Acute:
salmonids present….CMC = ![]()
salmonids not present…CMC=![]()
Freshwater Chronic:
fish early life stages present
CCC =
)
fish early life stages not present
CCC=
Note: these chronic criteria formulae would be applied to calculate the 30-day average concentration limit; in addition, the highest 4-day average within the 30-day period should not exceed 2.5 times the CCC.
D Ammonia criteria for saltwater may depend on pH and temperature. Values for saltwater criteria (total ammonia) can be calculated from the tables specified in Ambient Water Quality Criteria for Ammonia (Saltwater)--1989 (EPA 440/5-88-004; http://www.epa.gov/ost/pc/ambientwqc/ammoniasalt1989.pdf).
E Freshwater and saltwater criteria for metals are expressed in terms of “dissolved” concentrations in the water column, except where otherwise noted (e.g. aluminum).
F The freshwater criterion for this metal is expressed as a function of hardness (mg/L) in the water column. Criteria values for hardness may be calculated from the following formulae (CMC refers to Acute Criteria; CCC refers to Chronic Criteria):
CMC = (exp(mA*[ln(hardness)] + bA))*CF
CCC = (exp(mC*[ln(hardness)] + bC))*CF
where CF is the conversion factor used for converting a metal criterion expressed as the total recoverable fraction in the water column to a criterion expressed as the dissolved fraction in the water column.
Chemical | mA | bA | mC | bC |
Cadmium | 1.0166 | -3.924 | 0.7409 | -4.719 |
Chromium III | 0.8190 | 3.7256 | 0.8190 | 0.6848 |
Copper | 0.9422 | -1.700 | 0.8545 | -1.702 |
Lead | 1.273 | -1.460 | 1.273 | -4.705 |
Nickel | 0.8460 | 2.255 | 0.8460 | 0.0584 |
Silver | 1.72 | -6.59 | ||
Zinc | 0.8473 | 0.884 | 0.8473 | 0.884 |
Conversion factors (CF) for dissolved metals (the values for total recoverable metals criteria were multiplied by the appropriate conversion factors shown below to calculate the dissolved metals criteria):
Chemical | Freshwater | Saltwater | ||
Acute | Chronic | Acute | Chronic | |
Arsenic | 1.000 | 1.000 | 1.000 | 1.000 |
Cadmium | 1.136672-[(ln hardness)(0.041838)] | 1.101672-[(ln hardness)(0.041838)] | 0.994 | 0.994 |
Chromium III | 0.316 | 0.860 | -- | -- |
Chromium VI | 0.982 | 0.962 | 0.993 | 0.993 |
Copper | 0.960 | 0.960 | 0.83 | 0.83 |
Lead | 1.46203-[(ln hardness)(0.145712)] | 1.46203-[(ln hardness)(0.145712)] | 0.951 | 0.951 |
Nickel | 0.998 | 0.997 | 0.990 | 0.990 |
Selenium | 0.996 | 0.922 | 0.998 | 0.998 |
Silver | 0.85 | 0.85 | 0.85 | -- |
Zinc | 0.978 | 0.986 | 0.946 | 0.946 |
I This value is based on criterion published in Ambient Water Quality Criteria for Endosulfan (EPA 440/5-80-046) and should be applied as the sum of alpha- and beta-endosulfan.
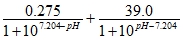
M Freshwater aquatic life values for pentachlorophenol are expressed as a function of pH, and are calculated as follows: CMC=(exp(1.005(pH)-4.869); CCC=exp(1.005(pH)-5.134).
N This number was assigned to the list of non-priority pollutants in National Recommended Water Quality Criteria: 2002 (EPA-822-R-02-047).
O This criterion is based on EPA recommendations issued in 1980 that were derived using guidelines that differed from EPA's 1985 Guidelines for minimum data requirements and derivation procedures. For example, a "CMC" derived using the 1980 Guidelines was derived to be used as an instantaneous maximum. If assessment is to be done using an averaging period, the values given should be divided by 2 to obtain a value that is more comparable to a CMC derived using the 1985 Guidelines.
P Criterion shown is the minimum (i.e. CCC in water should not be below this value in order to protect aquatic life).
Q Criterion is applied as total arsenic (i.e. arsenic (III) + arsenic (V)).
S This criterion is expressed as µg free cyanide (CN)/L.
T This criterion applies to DDT and its metabolites (i.e. the total concentration of DDT and its metabolites should not exceed this value).
U This criterion applies to total PCBs (e.g. the sum of all congener or all isomer or homolog or Arochlor analyses).
V The CMC=1/[(f1/CMC1)+(f2/CMC2)] where f1 and f2 are the fractions of total selenium that are treated as selenite and selenate, respectively, and CMC1 and CMC2 are 185.9 μg/L and 12.82 μg/L, respectively.
W The acute and chronic criteria for aluminum are 750 μg/L and 87 μg/L, respectively. These values for aluminum are expressed in terms of “total recoverable” concentration of metal in the water column. The criterion applies at pH<6.6 and hardness<12 mg/L (as CaCO3).
X The effective date for the criterion in the column immediately to the left is 1991.
Y No criterion.
Table 33B Redline/Strikethrough
TABLE 33B
Note: The Environmental Quality Commission adopted the following criteria on May 20, 2004 to become effective on EPA approval. EPA has not yet (as of June 2006) approved these criteria. The Table 33B criteria may not be used until they are approved by EPA.
AQUATIC LIFE WATER QUALITY CRITERIA SUMMARY A
The concentration for each compound listed in Table 33A is a criterion not to be exceeded in waters of the state in order to protect aquatic life. All values are expressed as micrograms per liter (µg/L) except where noted. Compounds are listed in alphabetical order with the corresponding EPA number (from National Recommended Water Quality Criteria: 2002, EPA-822-R-02-047), the Chemical Abstract Service (CAS) number, aquatic life freshwater acute and chronic criteria, aquatic life saltwater acute and chronic criteria. The acute criteria refer to the average concentration for one (1) hour and the chronic criteria refer to the average concentration for 96 hours (4 days), and that these criteria should not be exceeded more than once every three (3) years.
EPA No. | Compound | CAS Number | ||||||||||
Freshwater | Saltwater | |||||||||||
Acute (CMC) | Effective Date | Chronic (CCC) | Effective Date | Acute (CMC) | Effective Date | Chronic (CCC) | Effective Date | |||||
2 N | Aluminum (pH 6.5 - 9.0) | 7429905 | W | W | ||||||||
3 N | Ammonia | 7664417 | C | C | ||||||||
2 | Arsenic | 7440382 | ||||||||||
15 | Asbestos | 1332214 | ||||||||||
19 | Benzene | 71432 | ||||||||||
3 | Beryllium | 7440417 | ||||||||||
105 | BHC gamma- (Lindane) | 58899 | ||||||||||
4 | Cadmium | 7440439 | E,F | E,F | 40 E | 8.8 E | ||||||
107 | Chlordane | 57749 | ||||||||||
CHLORINATED BENZENES | ||||||||||||
26 | Chloroform | 67663 | ||||||||||
67 | ChloroisopropylEther Bis2- | 108601 | ||||||||||
15 N | ChloromethylEther, Bis | 542881 | ||||||||||
5a | Chromium (III) | E,F | E,F | |||||||||
5b | Chromium (VI) | 18540299 | 16 E | 11 E | ||||||||
6 | Copper | 7440508 | E,F | E,F | 4.8 E | 3.1 E | ||||||
108 | DDT 4,4’- | 50293 | ||||||||||
DIBUTYLPHTHALATE | ||||||||||||
DICHLOROBENZENES | ||||||||||||
DICHLOROBENZIDINE | ||||||||||||
DICHLOROETHYLENES | ||||||||||||
DICHLOROPROPENE | ||||||||||||
111 | Dieldrin | 60571 | 0.056 | |||||||||
DINITROTOLUENE | ||||||||||||
DIPHENYLHYDRAZINE | ||||||||||||
115 | Endrin | 72208 | 0.036 | |||||||||
86 | Fluoranthene | 206440 | ||||||||||
HALOMETHANES | ||||||||||||
20 N | Iron | 7439896 | ||||||||||
7 | Lead | 7439921 | E,F | E,F | 210 E | 8.1 E | ||||||
22 N | Manganese | 7439965 | ||||||||||
8a | Mercury | 7439976 | ||||||||||
MONOCHLOROBENZENE | ||||||||||||
9 | Nickel | 7440020 | E,F | E,F | 74 E | 8.2 E | ||||||
53 | Pentachlorophenol | 87865 | M | |||||||||
54 | Phenol | 108952 | ||||||||||
POLYNUCLEAR AROMATIC HYRDOCARBONS | ||||||||||||
10 | Selenium | 7782492 | E,V | 5 E | 290 E | 71 E | ||||||
11 | Silver | 7440224 | E,F,P | 0.10 E | 1.9 E,P | |||||||
44 N | Tributyltin (TBT) | 688733 | 0.46 | 0.063 | 0.37 | 0.01 | ||||||
41 | Trichloroethane 1,1,1- | 71556 | ||||||||||
55 | Trichlorophenol 2,4,6- | 88062 | ||||||||||
13 | Zinc | 7440666 | E,F | E,F | 90 E | 81 E | ||||||
Footnotes for Tables 33A and 33B:
A Values in Table 20 are applicable to all basins.
C Ammonia criteria for freshwater may depend on pH, temperature, and the presence of salmonids or other fish with ammonia-sensitive early life stages. Values for freshwater criteria (of total ammonia nitrogen in mg N/L) can be calculated using the formulae specified in 1999 Update of Ambient Water Quality Criteria for Ammonia (EPA-822-R-99-014; http://www.epa.gov/ost/standards/ammonia/99update.pdf):
Freshwater Acute:
salmonids present….CMC = ![]()
salmonids not present…CMC=![]()
Freshwater Chronic:
fish early life stages present
CCC =
)
fish early life stages not present
CCC=
Note: these chronic criteria formulae would be applied to calculate the 30-day average concentration limit; in addition, the highest 4-day average within the 30-day period should not exceed 2.5 times the CCC.
D Ammonia criteria for saltwater may depend on pH and temperature. Values for saltwater criteria (total ammonia) can be calculated from the tables specified in Ambient Water Quality Criteria for Ammonia (Saltwater)--1989 (EPA 440/5-88-004; http://www.epa.gov/ost/pc/ambientwqc/ammoniasalt1989.pdf).
E Freshwater and saltwater criteria for metals are expressed in terms of “dissolved” concentrations in the water column, except where otherwise noted (e.g. aluminum).
F The freshwater criterion for this metal is expressed as a function of hardness (mg/L) in the water column. Criteria values for hardness may be calculated from the following formulae (CMC refers to Acute Criteria; CCC refers to Chronic Criteria):
CMC = (exp(mA*[ln(hardness)] + bA))*CF
CCC = (exp(mC*[ln(hardness)] + bC))*CF
where CF is the conversion factor used for converting a metal criterion expressed as the total recoverable fraction in the water column to a criterion expressed as the dissolved fraction in the water column.
Chemical | mA | bA | mC | bC |
Cadmium | 1.0166 | -3.924 | 0.7409 | -4.719 |
Chromium III | 0.8190 | 3.7256 | 0.8190 | 0.6848 |
Copper | 0.9422 | -1.700 | 0.8545 | -1.702 |
Lead | 1.273 | -1.460 | 1.273 | -4.705 |
Nickel | 0.8460 | 2.255 | 0.8460 | 0.0584 |
Silver | 1.72 | -6.59 | ||
Zinc | 0.8473 | 0.884 | 0.8473 | 0.884 |
Conversion factors (CF) for dissolved metals (the values for total recoverable metals criteria were multiplied by the appropriate conversion factors shown below to calculate the dissolved metals criteria):
Chemical | Freshwater | Saltwater | ||
Acute | Chronic | Acute | Chronic | |
Arsenic | 1.000 | 1.000 | 1.000 | 1.000 |
Cadmium | 1.136672-[(ln hardness)(0.041838)] | 1.101672-[(ln hardness)(0.041838)] | 0.994 | 0.994 |
Chromium III | 0.316 | 0.860 | -- | -- |
Chromium VI | 0.982 | 0.962 | 0.993 | 0.993 |
Copper | 0.960 | 0.960 | 0.83 | 0.83 |
Lead | 1.46203-[(ln hardness)(0.145712)] | 1.46203-[(ln hardness)(0.145712)] | 0.951 | 0.951 |
Nickel | 0.998 | 0.997 | 0.990 | 0.990 |
Selenium | 0.996 | 0.922 | 0.998 | 0.998 |
Silver | 0.85 | 0.85 | 0.85 | -- |
Zinc | 0.978 | 0.986 | 0.946 | 0.946 |
I This value is based on criterion published in Ambient Water Quality Criteria for Endosulfan (EPA 440/5-80-046) and should be applied as the sum of alpha- and beta-endosulfan.
M Freshwater aquatic life values for pentachlorophenol are expressed as a function of pH, and are calculated as follows: CMC=(exp(1.005(pH)-4.869); CCC=exp(1.005(pH)-5.134).
N This number was assigned to the list of non-priority pollutants in National Recommended Water Quality Criteria: 2002 (EPA-822-R-02-047).
O This criterion is based on EPA recommendations issued in 1980 that were derived using guidelines that differed from EPA's 1985 Guidelines for minimum data requirements and derivation procedures. For example, a "CMC" derived using the 1980 Guidelines was derived to be used as an instantaneous maximum. If assessment is to be done using an averaging period, the values given should be divided by 2 to obtain a value that is more comparable to a CMC derived using the 1985 Guidelines.
P Criterion shown is the minimum (i.e. CCC in water should not be below this value in order to protect aquatic life).
R Arsenic criterion refers to the inorganic form only.
S This criterion is expressed as µg free cyanide (CN)/L.
T This criterion applies to DDT and its metabolites (i.e. the total concentration of DDT and its metabolites should not exceed this value).
U This criterion applies to total PCBs (e.g. the sum of all congener or all isomer or homolog or Arochlor analyses).
V The CMC=1/[(f1/CMC1)+(f2/CMC2)] where f1 and f2 are the fractions of total selenium that are treated as selenite and selenate, respectively, and CMC1 and CMC2 are 185.9 μg/L and 12.82 μg/L, respectively.
W The acute and chronic criteria for aluminum are 750 μg/L and 87 μg/L, respectively. These values for aluminum are expressed in terms of “total recoverable” concentration of metal in the water column. The criterion applies at pH<6.6 and hardness<12 mg/L (as CaCO3).
X The effective date for the criterion in the column immediately to the left is 1991.
Y No criterion.